药物化学

董大鹏

目录

  • 1 绪论
    • 1.1 药物与药品
    • 1.2 药物化学
  • 2 抗生素
    • 2.1 抗生素概况
    • 2.2 β内酰胺类抗生素
      • 2.2.1 青霉素
      • 2.2.2 头孢菌素
      • 2.2.3 非经典β内酰胺类抗生素
    • 2.3 四环素、氨基糖胺类、大环内酯
  • 3 解热镇痛与非甾体抗炎药
    • 3.1 解热镇痛药
    • 3.2 非甾体抗炎药
  • 4 抗菌药
    • 4.1 磺胺类药物
    • 4.2 喹诺酮类药物
  • 5 镇静催眠药
    • 5.1 巴比妥类药物
    • 5.2 苯二氮卓类药物
  • 6 麻醉药
    • 6.1 全麻药
    • 6.2 局麻药
  • 7 心血管类药物
    • 7.1 介绍
    • 7.2 β受体阻断药
    • 7.3 强心苷
    • 7.4 钙通道阻滞剂
  • 8 H受体拮抗剂
    • 8.1 抗过敏药
    • 8.2 抗溃疡药
  • 9 抗肿瘤药物
    • 9.1 生物烷化剂
    • 9.2 顺铂
  • 10 激素
    • 10.1 性激素
    • 10.2 前列腺素
  • 11 新药研究
  • 12 药化实验一
    • 12.1 实验目标
    • 12.2 实验内容
  • 13 实验二 苯佐卡因的合成
    • 13.1 制备对氨基苯甲酸(还原反应)
    • 13.2 制备对氨基苯甲酸乙酯(酯化反应)
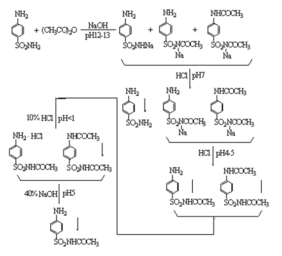
  • 14 实验三 磺胺醋酰钠制备
    • 14.1 反应原理
    • 14.2 磺胺醋酰的制备
    • 14.3 磺胺醋酰钠的制备
  • 15 其他试验
    • 15.1 4,4-二苯基-3-丁烯-2-酮
反应原理