(一)教学视频
(二)教学课件
(三)教学内容
整流电路是将交流电压变换成脉动的直流电压,功能如图3.3所示。整流电路有半波整流、全波整流和桥式整流。

图3.3 整流电路作用
(1)整流电路的类型
1)半波整流
半波整流电路如图3.4所示,它是在电路中串联一个整流二极管,将交流电压的正向通过,反向截止,输出波形为输入波形的正半周信号,所以称为半波整流。半波整流电路的主要性能指标和参数有:

图3.4 半波整流电路
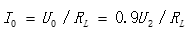
输出电压:
![]()
输出电流:
![]()
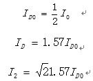
有效值电流:
![]()
二极管电流:
![]()
二极管反向电压:
![]()
2)全波整流
全波整流电路是在变压器的两端分别接了一个整流二极管,将交流电压的正向和反向电压均转化为正电压信号提供给负载,其电路与输出波形如图3.5所示,将输出了全部的波形,所以称为全波整流。全波整流电路的主要性能指标和参数有:

图3.5 全波整流
输出电压:

输出电流:
![]()
二极管电流:
![]()
![]()
二极管反向电压:
![]()
3)桥式整流
桥式整流器是对二极管半波整流的一种改进,它利用四只二极管,两两对接。当输入正弦波的正半周是两只管导通,得到正的输出;输入正弦波的负半周时,另两只管子导通,由于这两只管子是反接的,所以输出还是得到正弦波的正半部分。电路与输出波形如图3.6所示。

图3.6 桥式整流
桥式整流二极管作为整流元件,要根据不同的整流方式和负载大小加以选择。如选择不当,则或者不能安全工作,甚至烧了管子;或者大材小用,造成浪费。电路的主要性能指标和参数有:
输出电压:

输出电流:
![]()
二极管电流:

反向电压:
![]()
(2)整流电路比较分析
通过对半波整流、全波整流和桥式整流电路比较,如表3.2所示,
表3.2整流电路比较分析表

表中S为脉动系数:表示为整流输出电压的基波峰值与平均值之比,S越小越好。
从表中可以看出:
² 如果从性能比较,全波整流和桥式整流要比半波整流好,其输出效率高和脉动系数小;
² 如果从经济成本看,半波整流只需要一个二极管即可,桥式整流需四个二极管,全波整流需两个二极管,但全波整流电路需要有中间抽头的变压器,所以成本由低到高依次为半波整流、桥式整流和全波整流;
² 如果从二极管的指标要求比较,全波整流的整流二极管最高反向电压是半波整流和桥式整流二极管的两倍,对整流二极管的要注更高。
根据设计需求,输出纹波噪声电压要求≤2%(峰峰值),即尽可能小,所以应选择脉动系数小的整流电路,并综合考虑电源转换效率、经济成本和器件性能要求,应选择桥式整流电路。
(3)整流二极管参数计算
二极管作为整流元件,要根据不同的整流方式和负载大小加以选择。如选择不当,则不能安全工作,甚至烧了管子;或者会大材小用,造成浪费。
Ø 最大整流电流:
考虑到取样和放大电路等电源本身消耗的电流,可选取最大电流为0.5A。
Ø 最高反向工作电压
整流管耐压UDRM即为市电上升10%时的最大反向峰峰值电压:

