(一)教学视频
(二)教学课件
(三)教学内容
稳压电路是为了使电路在市电波动和负载变动时,使输出电压保持稳定,即负载的工作电压保持稳定,功能如图3.13所示。

图3.13 稳压电路作用
(1)常见的稳压电路
小功率设备中常用的稳压电路有硅二极管稳压、串联型直流稳压、开关型稳压和集成稳压电路等类型。
1)硅二极管稳压电路
硅二极管稳压电路如图3.14所示,其电路最简单,但是带负载能力差,一般只用于基准电压提供,不作为电源输出稳压使用。

图3.14 稳压二极管稳压电路
稳压原理:稳压二极管稳压电路是利用稳压二极管的反向击穿特性。由于反向特性陡直,较大的电流变化,只会引起较小的电压变化。所以当输入电压上升时,有:
![]()
稳压二极管稳压电路的稳压性能与稳压二极管击穿特性的动态电阻有关,与稳压电阻R的阻值大小有关。稳压二极管的动态电阻越小,稳压电阻R越大,稳压性能越好。
稳压电阻R 的作用: 将稳压二极管电流的变化转换为电压的变化,从而起到调节作用,同时R也是限流电阻。
显然R 的值越大,较小的变化就可引起足够大的变化,就可达到足够的稳压效果。但R的值越大,需要的输入电压值也越大,其能耗损失就会加大。
稳压电阻计算:当输入电压最小,负载电流最大时,流过稳压二极管的电流最小。此时不应小于,由此可计算出稳压电阻的最大值,实际选用的稳压电阻应小于最大值。即
![]()
当输入电压最大,负载电流最小时,流过稳压二极管的电流最大。此时不应超过
,由此可计算出稳压电阻的最小值。即
![]()
稳压电阻的取值范围为:![]()
注意:使用稳压二极管时一定要串入限流电阻,不能使它的功耗超过规定值,否则会造成损坏!
2)串联型直流稳压电路
硅二极稳压电路结构简单,调试方便,但输出不易调整,且带负载能力差,一般只用于基准电压提供,不作为电源输出稳压使用。因实际电路中,常采用串联型直流稳压电路。
串联型稳压电路主要由电压调整管、取样环节、放大环节、比较环节、基准电压源等部分组成,其电路结构如图3.15所示。

图3.15 串联型直流稳压电路
稳压原理:该电路实质上是利用了电路中的电压负反馈,将取样到的电压与基准电压进行比较后,经过放大去控制电压调整管的基极电位,从而控制发射极(即输出)电压。
输入电压变化时:
![]()
负载电流变化时:
![]()
输出电压调节范围:
根据“虚短”:
,
因为:![]()
所以:![]()
所以:![]()
可见,调节即可以改变输出电压大小。
3)开关型稳压
开关稳压电路是由开关管V,激励信号,续流二极管和储能电感组成,其原理图及等效原理框图如图3.16所示。

图3.16 开关电源原理图及等效原理框图
开关稳压电源的核心部分是一个直流变压器,直流变压器有两种,一种是逆变器,一种是直流变换器。
逆变器:把直流转变为交流,通常被广泛地应用在采用电平或电池组成的备用电源中。
直流变换器:把直流转换成交流,又把交流转换成直流。被广泛地应用在开关稳压电源中。采用直流变换器可以把一种直流供电电压变换成极性、数值各不同的多种直流供电电压。
开关稳压电路特点:
优点:“开关型稳压电路”与“串联调整型稳压路”相比,以其高效节能;适应市电变化能力强;输出电压可调范围宽;一只开关管可方便地获得多组电压等级不同的电源;体积小,重量轻等诸多优点,而被广泛地得到采用。
² 功耗小,效率高;
² 体积小,重量轻;
² 稳压范围宽;
² 滤波的效率大为提高,使滤波电容的容量和体积大为减少;
² 电路形式灵活多样;
缺点:开关稳压电源的缺点是存在较为严重的开关干扰。开关稳压电源中,功率调整开关晶体管工作在状态,它产生的交流电压和电流通过电路中的其他元器件产生尖峰干扰和谐振干扰,这些干扰如果不采取一定的措施进行抑制、消除和屏蔽,就会严重地影响整机的正常工作。此外由于开关稳压电源振荡器没有工频变压器的隔离,这些干扰就会串入工频电网,使附近的其他电子仪器、设备和家用电器受到严重的干扰。
4)三端集成稳压
随着集成技术的不断发展,目前出现很多种类的集成稳压电路模块,它是将不稳定的直流电压转换成稳定的直流电压的集成电路,用分立元件组成的稳压电源,固有输出功率大,适应性较广的优点,但因体积大焊点多可靠性差而使其应用范围受到限制。近年来,集成稳压电源已得到广泛应用,其中小功率的稳压电源以三端串联型稳压器应用最为普遍。集成稳压模块外形封装如图3.17所示。

a.小功率TO-92封装 b.中功率TO-220封装 c.大功率TO204封装
图3.17 集成稳压模块封装图
电路设计中常用的集成稳压器主要有78XX系列、79XX系列、可调集成稳压器、精密电压基准集成稳压器等。按出线端子多少和使用情况大致可分为三端固定式、三端可调式、多端可调式及单片开关式等几种。
三端固定式:是将取样电阻、补偿电容、保护电路、大功率调整管等都集成在同一芯片上,使整个集 成电路块只有输人、输出和公共3个引出端,使用非常方便,因此获得广泛应用。它的缺点是输出电压固定,所以必须生产各种输出电压、电流规格的系列产品。典型的78XX系列、79XX系列。
78为正电压输出,79为负电压输出。
中间字母表示输出电流:
² 78(79)LXX:100mA
² 78(79)MXX:500mA
² 78(79)XX:1A
² 78(79)HXX:5A
XX为稳压输出电压,有05,06,08,09,12,15,24等,分别代表输出电压为5V,6V,8V,9V,12V,15V,24V。
三端可调式:只需外接两只电阻即可获得各种输出电压。典型的有:
² 正压可调输出:LM117;LM217;LM317
² 负压可调输出:LM137;LM237;LM337
多端可调式:是早期集成稳压器产品,其输出功率小,引出端多,使用不太方便,但精度高,价格便宜。如,CW3085,CW1511。还有保持正、负输出电压完全对称的CW1468等。
单片开关式:是最近几年发展的一种稳压电源,其效率特别高。它的工作原理与上面3种类型稳压器不同 ,是由直流变交流(高频)再变直流的变换器。通常有脉冲宽度调制和脉冲频率调制两种,输出电压是可调的。以an5900,tlj494,ha17524等为代表,目前广泛应用在微机、电视机和测量仪器等设备中。
(2)电路比较分析
通过对二极管稳压、线性直流稳压、开关型稳压和集成稳压电路等四类电路比较,如表3.4所示。
表3.4 四种稳压方式比较

从电路性能来说,应选择性能最好开关型和线性直流稳压电路;从输出效率上选择最好是开关型稳压电路;从输出功率上考滤,应选择线性直流稳压和开关性稳压;从经济上考虑,应选择三端集成稳压和线性直流稳压电路;从应用方便性考虑,体积越小、重量越轻越好,应选择集成稳压。
根据设计需求,要求输出电压要连续可调,输出最大电流可达960mA,性能要好。上述稳压电路能满足要求的有线性直流稳压、开关型稳压和三端集成稳压(大功率模块),综合考虑其经济成本、体积和重量等问题,可以选择三端集成稳压电路或线性直流稳压电路,因三端集成稳压电路较为简单,此处我们只选线性直流稳压电路作为设计对象。
(3)串联型直流稳压电路设计
利用稳压二极管的特性及串联型直流稳压电路设计框图,设计稳压电路原理图如图3.18所示:

图3.18 分立元件串联型稳压电路
电路设计思路如下:
² 为增大电路输出功率,调整管采用复合管;
² 为节约成本,误差放大器采用一个小功率三极管;
² 为避免稳压二极管在稳压过程中,反向电流较高情况下,会增大取样放大管的发射极电流,导致可能烧坏三极管,因而增加一个分流电阻R;
² R接在调整管前级,如果接在调整管后级将会增加调整管的负担。
(4)串联型直流稳压电路参数确定
1)VT1调整管
² 集电极-发射极反射击穿电压:当负载短路时,此时加载在调整管两端的电压是最高的,即直接将加载到CE极两端,故:
![]()
² 集电极最大电流(过流保护时):
![]()
² 集电极最大耗散功率:
查找三极管使用手册,可选BD237,其极限参数为集电极-发射极反射击穿电压为100V,集电极最大电流为2A,集电极耗散功率25W,放大倍数40倍,完全满足设计要求。
2)VT2管
与同理,应当也有:
![]()
VT2集电极最大电流:(设为60倍)
![]()
VT2集电极耗散功率:
![]()
查找三极管使用手册,可选9013:极限参数25V/0.5A/0.625W,放大倍数64-300。也可选2N2369,40V/0.5A/0.3W。
3)基准部分
稳压管:考虑电路输出的稳压值应小于最小输出电压3V,为保证取样放大管处于放大状态,有0.7V压降,因此的稳压值应小于3V-0.7V=2.3V,参考二极管资料手册,可以选择BZX55C2V0(DO-35封装)稳压二极管,极稳压值为2V;也可以直流选择IN4001普通整流二极管接正向,其导通状态保持在0.6-0.75V之间,基本稳定。此处选择选择最后一种方案,采用2个IN4001串联。
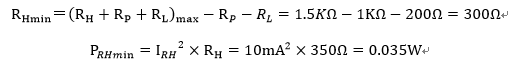
转移参考电阻R:取值要考虑到IN4001的电流不能太大,同时该电阻分流较小,对电源输出效率的提高有好处。可取值
,
![]()
但电路流过的电流最小应保证IN4001导通(通常取
=1mA),所以
![]()
R的可以取中间值,适当小一点,可以为取样放大管分流,故这里R的值可取2K。
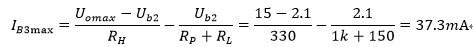
4)取样电路的选择
当电源输出功率最大时,
,要尽量不增加电源总功率,取样支路的电流也应远小于800mA,但电流也不太小,应大于取样放大管的基极驱动电流,一般取10mA,则
![]()
当取
时,取样电压为
,
因
,且约等于15V,
因此可计算出:
![]()
![]()
可选择
的电阻。
因
,且约等于3V,
同理可计算出:

可选择
的精密电位器。

选择
的电阻。
5)取样放大电路参数
比较放大三极管基极电流:
![]()
取样放大管:因其负载为基准电压稳压管,稳压管的稳压电流大部分已被分流电阻R分流,所以取样放大三极管可选择常见低频小功率管即可,可选择9013小功率三极管,参数为25V/0.5A/0.625W,64<β<300。
集电极电阻:
为避免对取样电路产生影响,比较放大管基极电流应远小于取样电路RH的电流,![]()
因此:![]()
集电极电阻两端最高电压

为了提高稳压的快速性和减小电源内耗,可适当取值大一点,因此可取
为3.3K。
6)输出滤波电容选择:
作用:使输出电压波形更平滑,特别对于瞬时大电流可以起到较好的抑制作用,减少负载对电源的影响,提高输出电压的稳定度。
取值范围:取值太小时,起不到应有的作用;太大时会对调整管造成冲击电流大,反馈相移大,甚至自激。其参考取值见表3.1.5所示,耐压值应有50%的裕量。
表3.5 输出电流与电容取值关系参考表
7)稳压器前后小滤波电容本电源设计最大输出电流为800 mA +20%=960mA,最高输出电压为15V,所以可选择220uF/25V的铝质电解电容。
作用:滤除高频干扰,电解电容的高频特性较差,小容量的无极性电容高频特性好,起到互补作用。也有利于改善动态特性。
取值范围:一般取值在之间。

