任务1 换填法
一、任务介绍
换填垫层法主要适用于浅层软弱地基及不均匀地基的处理。应根据建筑体型、结构特点、荷载性质、岩土工程条件、施工机械设备及填料的性质和来源等进行综合分析,进行换填垫层的设计和选择施工方法。本任务的重点是掌握换土垫层法的概念、适用条件及其五个作用;对砂垫层厚度、宽度的设计;换土垫层法的质量检验方法。
二、理论知识
1.换填法的原理及适用范围
1)换填法的概念
当软弱土地基的承载力和变形满足不了建筑物的要求,而软土层的厚度又不是很大时,将基础底面下处理范围内的软弱土层部分或全部挖去,然后分层换填强度较大的砂(碎石、灰土、高炉干渣、粉煤灰)或其他性能稳定、无侵蚀性的材料,并夯压(振实)至要求的密实度为止,这种地基处理方法称为换填法。
2)垫层的作用
换填的材料主要有灰土、砂、碎石、高炉干渣和粉煤灰等,应具有强度高、压缩性低、稳定性好和无侵蚀性等良好的工程特性。当软土层部分换填时,地基便由垫层及(软弱)下卧层组成,足够厚度的垫层置换可能被剪切破坏的软土层,以使垫层底部的软弱下卧层满足承载力的要求,而达到加固地基的目的。按垫层回填材料的不同,可分别称为砂垫层、碎石垫层、素土垫层、灰土垫层、矿渣垫层、粉煤灰垫层等。垫层的主要作用有以下几点。
(1)提高地基承载力。
地基中的剪切破坏是从基础底面开始,随着基底压力的增大,逐渐向纵深发展。故强度较大的砂石等材料代替可能产生剪切破坏的软弱土,就可避免地基的破坏。
(2)减少地基沉降量。
一般基础下浅层部分的沉降量在总沉降量中所占的比例较大,若以密实的砂石替换上部软弱土层,就可减少这部分沉降量。此外,砂石垫层对基底压力的扩散作用,使作用在软弱下卧层上的压力减小,也相应地减少软弱下卧层的沉降量。
(3)垫层用透水材料可加速软弱土层的排水固结。
透水材料做垫层,为基底下软土提供了良好的排水面,不仅可使基础下面的孔隙水迅速消散,避免地基土的塑性破坏,还可加速垫层下软土层的固结及强度提高。但固结效果仅限于表层,对深部的影响并不显著。
(4)防止冻胀。
因粗颗粒的垫层材料孔隙大,能消除毛细现象,故可以防止寒冷地区土中结冰造成的冻胀。这时垫层的底面应满足当地冻结深度的要求。
(5)消除膨胀土的胀缩作用。
在膨胀土地基上可以选用砂、碎石、块石、煤渣、二灰或灰土等材料作为垫层以消除胀缩作用。
3)换填法的适用范围
换填法适用于淤泥、淤泥质土、湿陷性黄土、素填土、杂填土地基及暗沟、暗塘等的浅层处理。换土垫层法的处理深度常控制在3~5m范围以内。若换土垫层太薄,其作用不甚明显,因此处理深度也不应小于0.5m。换填法各种垫层的适用范围见表10-1。
表10-1各种垫层的适用范围
2.垫层的设计
为使换土垫层达到预期效果,应保证垫层本身的强度和变形满足设计要求,同时垫层下地基所受压力和地基变形在容许范围内,而且应符合经济合理的原则。垫层设计的主要内容是确定断面的合理宽度和厚度,即要求有足够的厚度以置换可能被剪切破坏的软弱土层,又要求有足够的宽度以防止砂垫层向两侧挤出。主要起排水作用的砂(石)垫层,一般厚度要求为30cm,并需在基底下形成一个排水面,以保证地基土排水路径的畅通,促进软弱土层的固结,从而提高地基强度。
1)垫层厚度的确定
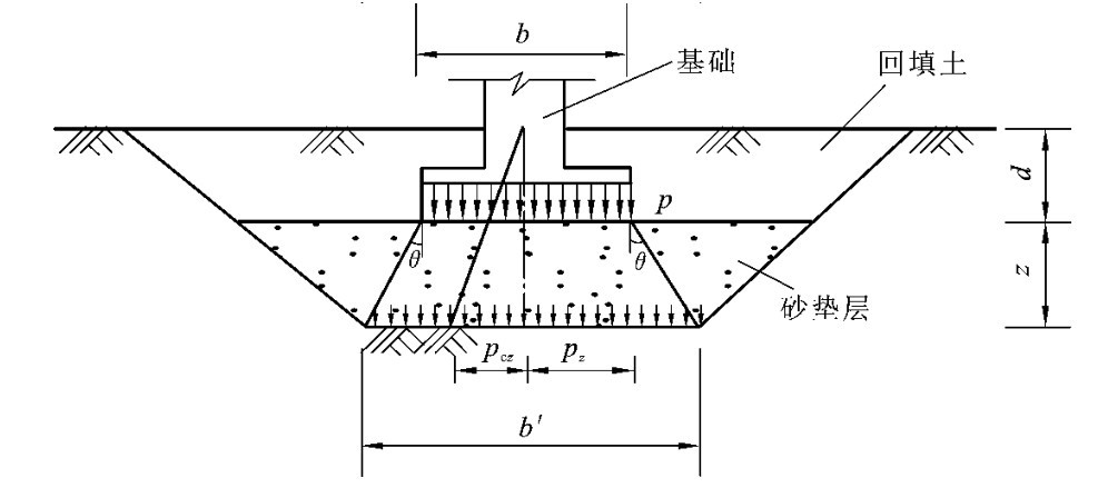
砂垫层的厚度一般是根据砂垫层底部软土层的承载力来确定的,即作用在垫层底面处土的附加应力与自重应力之和,不大于软弱层的承载力设计值,如图10-1所示,并符合下式要求。
pz+pcz≤faz (10-1)
式中:pz——相应于荷载效应标准组合时,垫层底面处的附加压力,kPa;
pcz——垫层底面处土的自重压力,kPa;
faz——垫层底面处经深度修正后的地基承载力特征值,kPa。
图10-1 砂垫层剖面图
垫层底面处的附加应力值pz,除了可用弹性理论土中应力的计算公式求得外,也可按应力扩散角θ进行简化计算。
式中:b——矩形基础或条形基础底面的宽度,m;
l——矩形基础底面的长度,m;
pk——相应于荷载效应标准组合时,基础底面处的平均压力值,kPa;
pc——基础底面处土的自重压力,kPa;
z——基础底面下垫层的厚度,m;
θ——垫层的压力扩散角,宜通过试验确定,当无试验资料时,可按表10-2来选取。
表10-2 压力扩散角θ 单位:(°)
注:(1)当z/b<0.25时,除灰土仍取θ=28°外,其余材料均取θ=0°。
(2)当0.25≤z/b<0.5时,θ值可采用内插求得。
一般计算时,可先根据初步拟定的垫层厚度,再用式(10-1)进行复核。垫层厚度一般不宜大于3m,太厚会使施工困难;也不宜小于0.5m,太薄则换土垫层的作用不显著。
2)垫层宽度的确定
垫层底面尺寸的确定,应从两方面考虑:一方面要满足应力扩散的要求;另一方面要防止基础受力时,因垫层两侧土质较软弱出现砂垫层向两侧土挤出,使基础沉降增大。关于垫层宽度的计算,目前还缺乏可行的理论方法,在实践中常常按照当地某些经验数(考虑砂垫层两侧土的性质)或按经验方法确定。常用的经验方法是扩散角法。此时,图10-1中矩形基础的垫层底面的宽度b′为
b′≥b+2ztanθ (10-4)
式中:b′——垫层底面宽度,m;
θ——垫层的压力扩散角,仍按表10-2取值。
垫层顶面每边最好比基础底面大300mm,或者从垫层底面两侧向上按当地开挖基坑经验的要求放坡延伸至地面。整片垫层的宽度可根据施工的要求适当加宽。当垫层的厚度、宽度和放坡线一经确定时,即可得垫层的设计断面。
3)垫层承载力的确定
垫层的承载力宜通过现场载荷试验确定,当无试验资料时,可按表10-3选用,并应进行下卧层承载力的验算。
表10-3 各种垫层的承载力
注:(1)压实系数λc,为土控制干密度ρd与最大干密度ρdmax的比值,土的最大干密度宜采用击实试验确定,碎石或卵石的最大干密度可取(2.0~2.2)×103kg/m3。
(2)采用轻型击实试验时,压实系数λc宜取高值;采用重型击实试验时,压实系数λc宜取低值。
(3)矿渣垫层的压实指标为使最后两遍压实的压陷差小于2mm的值。
4)沉降计算
采用换填法对地基进行处理后,由于垫层下软弱土层的变形,建筑物地基往往仍将产生一定的沉降量及差异沉降量。因此,在垫层的厚度和宽度确定后,对于重要的建筑物或垫层下存在软弱下卧层的建筑物,还应进行地基的变形计算。
换土垫层后的建筑物地基沉降由垫层自身的变形量和下卧土层的变形量两部分所构成,即
s=s1+s2 (10-5)
式中:s1——基础沉降量,cm;
s2——垫层自身变形量,cm;
s——压缩层厚度范围内,自垫层底面算起的各土层压缩变形量之和,cm。
对超出原地面标高的垫层或换填材料的密度高于天然土层密度的垫层,宜早换填并考虑其附加的荷载对建造的建筑物及邻近建筑物的影响。
3.垫层材料选择
1)砂石
宜选用碎石、卵石、角砾、圆砾、砾砂、粗砂、中砂或石屑(粒径小于2mm的部分不应超过总重的45%),应级配良好,不含植物残体、垃圾等杂质。当使用粉细砂或石粉(粒径小于0.075mm的部分不超过总重的9%)时,应掺入不少于总重30%的碎石或卵石。砂石的最大粒径不宜大于50mm。对于湿陷性黄上地基,不得选用砂石等透水材料。
2)粉质黏土
土料中有机质含量不得超过5%,亦不得含有冻土或膨胀土。当含有碎石时,其粒径不宜大于50mm。用于湿陷性黄土或膨胀土地基的粉质黏土垫层,土料中不得夹有砖、瓦和石块。
3)灰土
体积配合比宜为2∶8或3∶7。土料宜用粉质黏土,不宜使用块状黏土和砂质粉土,不得含有松软杂质,并应过筛,其颗粒不得大于15mm。石灰宜用新鲜的消石灰,其颗粒不得大于5mm。
4)粉煤灰
可用于道路、堆场和小型建筑、构筑物等的换填垫层。粉煤灰垫层上宜覆土0.3~0.5m。粉煤灰垫层中采用掺加剂时,应通过试验确定其性能及适用条件。作为建筑物垫层的粉煤灰应符合有关放射性安全标准的要求。粉煤灰垫层中的金属构件、管网宜采取适当的防腐措施。大量填筑粉煤灰时应考虑对地下水和土壤的环境影响。
5)矿渣
垫层使用的矿渣是指高炉重矿渣,可分为分级矿渣、混合矿渣及原状矿渣。矿渣垫层主要用于堆场、道路和地坪,也可用于小型建筑、构筑物地基。选用矿渣的松散重度不小于11kN/m3,有机质及含泥总量不得超过5%。设计、施工前必须对选用的矿渣进行试验,在确认其性能稳定并符合安全规定后方可使用。作为建筑物垫层的矿渣应符合对放射性安全标准的要求。易受酸、碱影响的基础或地下管网不得采用矿渣垫层。大量填筑矿渣时,应考虑其对地下水和土壤的环境影响。
6)其他工业废渣
在有可靠试验结果或成功的工程经验时,对质地坚硬、性能稳定、无腐蚀性和放射性危害的工业废渣等均可用于填筑换填垫层。被选用工业废渣的粒径、级配和施工工艺等应通过试验确定。
7)土工合成材料
由分层铺设的土工合成材料与地基土构成加筋垫层。所用土工合成材料的品种均匀性能及填料的土类应根据工程特性和地基土条件,按照现行国家标准《土工合成材料应用技术规范》(GB 50290—1998)的要求,通过设计并进行现场试验后确定。作为加筋的土工合成材料应采用抗拉强度较高,受力时伸长率不大于4%~5%,耐久性好,抗腐蚀的土工格栅、土工格室、土工垫或土工织物等土工合成材料;垫层填料宜用碎石、角砾、砾砂、粗砂、中砂或粉质黏土等材料。当工程要求垫层具有排水功能时,垫层材料应具有良好的透水性。在软土地基上使用加筋垫层时,应保证建筑稳定并满足允许变形的要求。
4.施工要点
(1)垫层施工应根据不同的换填材料选择施工机械。粉质黏土、灰土宜采用平碾、振动碾或羊足碾,中小型工程也可采用蛙式夯、柴油夯;砂石等宜用振动碾;粉煤灰宜采用平碾,振动碾、平板振动器、蛙式夯;矿渣宜采用平板振动器或平碾,也可采用振动碾。
(2)垫层的施工方法、分层铺填厚度,每层压实遍数等宜通过试验确定。除接触下卧软土层的垫层底部应根据施工机械设备及下卧层土质条件确定厚度外,一般情况下,垫层的分层铺填厚度可取200~300mm。为保证分层压实质量,应控制机械碾压速度。
(3)粉质黏土和灰土垫层土料的施工含水量宜控制在最优含水量±20%的范围内,粉煤灰垫层的施工含水量宜控制在±40%的范围内,最优含水量可通过击实试验确定,也可按当地经验取用。
(4)当垫层底部存在古井、古墓、洞穴、旧基础、暗塘等软硬不均的部位时,应根据建筑对不均匀沉降的要求予以处理,并经检验合格后,方可铺填垫层。
(5)基坑开挖时应避免坑底上层受扰动,可保留约200mm厚的土层暂不挖去,待铺填垫层前再挖至设计标高。严禁扰动垫层下的软弱土层,防止其被践踏、受冻或受水浸泡。在碎石或卵石垫层底部宜设置150~300mm厚的砂垫层或铺一层土工织物,以防止软弱土层表面的局部破坏,同时必须防止基坑边坡坍土混入垫层。
(6)换填垫层施工应注意基坑排水,除采用水撼法施工砂垫层外,不得在浸水条件下施工,必要时应采用降低地下水位的措施。
(7)垫层底面宜设在同一标高上,如深度不同,基坑底土面应挖成阶梯或斜坡搭接,并按先深后浅的顺序进行垫层施工,搭接处应夯压密实。粉质黏土及灰土垫层分段施工时,不得在柱基、墙角及承重窗间墙下接缝。上下两层的缝距不得小于500mm。接缝处应夯压密实,灰土应拌和均匀并应当日铺填夯压。灰土压密实后3天内不得受水浸泡。粉煤灰垫层铺填后宜当天压实,每层验收后应及时铺填上层或封层,防止干燥后松散起尘污染,同时应禁止车辆碾压通行。垫层竣工验收合格后,应及时进行基础施工与基坑回填。
(8)铺设土工合成材料时,下铺地基土层顶面应平整,防止土工合成材料被刺穿、顶破。铺设时应把土工合成材料张拉平直、绷紧,严禁有折皱;端头应固定或回折锚固;切忌曝晒或裸露;连接宜用搭接法、缝接法和胶结法,并均应保证主要受力方向的连接强度不低于所采用材料的抗拉强度。
5.质量检验
1)检验频率
垫层的施工质量检验必须分层进行,应在每层的压实系数符合设计要求后铺填上层土。
2)检验方法
对粉质黏土、灰土、粉煤灰和砂石垫层的施工质量检验可用环刀法、贯入仪、静力触探、轻型动力触探和标准贯入试验检验。对砂石、矿渣垫层可用重型动力触探检验,并均应通过现场试验以设计压实系数所对应的贯入度为标准检验垫层的施工质量。压实系数也可采用环刀法、灌砂法、灌水法或其他方法检验。
当采用环刀法取样时,取样点应位于每层的2/3的深度处,对大基坑每50~100m2不少于一个检验点;对基槽每10~20m应不少于1个点;每个单独柱基础应不少于1个点。采用贯入仪或动力触探检验垫层的施工质量时,每分层检验点的间距应小于4m。
用钢筋检验砂垫层质量时,通常可用20mm的平头钢筋,钢筋长1.25m,垂直举离砂面0.7m,自由下落,测其贯入深度,检验点的间距应小于4m。对砂石垫层可设置纯砂检验点,再按环刀法取样检验。
3)承载力检验
竣工验收采用载荷试验检验垫层承载力时,每个单体工程不宜少于3点,对于大型工程则应按单体工程的数量或工程的面积确定检验点数。
三、任务实施
【例10-1】 上海理工大学动力馆砂垫层地基处理工程。
1.工程概况
上海理工大学动力馆是三层混合结构,建造在冲填土的暗浜范围内,上部建筑正立面与基础平剖面布置如图10-2和图10-3所示。
图10-2 建筑物正立面
图10-3 基础平剖面
2.工程地质条件
建筑物场地系一池塘,冲填时塘底淤泥未挖除,地下水位较高,冲填龄期虽然已达40年之久但仍未能固结。其主要物理力学性质指标见表10-4。在基础平面外冲填土层曾做过两个载荷试验,地基承载力标准值为50kPa和70kPa。
表10-4 地基土主要物理力学指标
3.设计方案选择
设计时曾经考虑过以下几种方案。
(1)挖除填土,将基础落深,如将基础落深至淤泥质粉质黏土层内,需挖土4m,因而土方工程量大,地下水位又高,塘泥淤泥渗透性差,采用井点降水效果估计不够理想,并且施工也十分困难。
(2)打钢筋混凝土20cm×20cm短桩,长度5~8m,单桩承载力50~80kN。通常以暗浜下有黏质粉土和粉砂的效果较为显著。
当无试验资料时,桩基设计可假定承台底面下的桩与承台底面下的土起共同支承作用。计算时一般按桩承受荷载的70%计算,但地基土承受的荷载不宜超过30kPa。本工程因冲填时尚未固结,需做架空地板,这样也会增加处理造价。
(3)采用基础梁跨越。本工程因暗浜宽度太大,因而不可能选用基础梁跨越方法。
(4)采用砂垫层置换部分冲填土。砂垫层厚度选用0.9m和1.5m两种,辅以井点降水,并适当降低基底压力,控制基底压力为74kPa,经分析研究,最后决定采用本方案。
4.施工情况
(1)砂垫层材料采用中砂,使用平板振动器分层振实,控制土的干密度为1.6t/m3。
(2)建筑物四周布置井点,开始时井管滤头进入淤泥质粉质黏土层内,但因暗浜底淤泥的渗透性差,降水效果欠佳,最后补打井点,将滤头提高至填土层层底。
5.效果评价
(1)由于纵横条形基础和砂垫层处理起到了均匀传递扩散压力的作用,并改善了暗浜内填土的排水固结条件。冲填土和淤泥在承受上部荷载后,孔隙水压力可通过砂垫层排水消散,地基土逐渐固结,强度也随之提高。
(2)实测沉降量约200mm,在规范容许沉降范围以内,实际使用效果良好。
【例10-2】 某4层砖混结构住宅,承重墙下为条形基础,宽为1.2m,埋深为1.0m,上部建筑物作用于基础的顶面上的荷载为120kN/m,基础及基础上土的平均重度为20kN/m3。场地土质条件为第1层为粉质黏土,厚度为1.0m,重度为17.5kN/m3;第2层为淤泥质黏土,厚度为15m,重度为17.8kN/m3,含水量为65%,承载力特征值为45kPa;第3层为密实沙砾石层,地下水距地表为1.0m。试进行该项目垫层法设计。
【解】 采用砂垫层时压力扩散角θ=30°。
(1)确定砂垫层厚度。
①先假设砂垫层厚度为1.0m,并要求分层碾压夯实,其干密度要求大于1.62t/m3。
②试算砂垫层厚度。基础底面的平均压力值为
③砂垫层底面的附加压力为
④垫层底面处土的自重压力为
pcz=[17.5×1+(17.8-10)×1.0]kPa=25.3kPa
⑤垫层底面经深度修正后的地基承载力特征值为
以上说明设计的垫层厚度不够,再重新设计垫层厚度为1.7m,重新计算得
pz+pcz=(38.9+30.8)kPa=69.7kPa<72.8kPa
说明满足设计要求,故垫层厚度应取1.7m。
(2)确定垫层宽度。
b′=b+2ztanθ=(1.2+2×1.7×tan 30°)m=3.2m
故应取垫层宽度为3.2m。
(3)沉降计算(略)。
四、任务小结
1.换填法的概念
换填垫层法适用于浅层软弱地基及不均匀地基的处理。工程实践表明,换填垫层法主要用于淤泥、淤泥质土、湿陷性黄土、素填土、杂填土地基及暗沟、暗塘等的浅层处理。
2.垫层设计
垫层设计的主要内容是确定断面的合理宽度和厚度。即要求有足够的厚度以置换可能被剪切破坏的软弱土层,又要求有足够的宽度以防止砂垫层向两侧挤出。
3.垫层施工要点
砂垫层材料应选用级配良好的中粗砂,含泥量不超过3%,并应除去树皮、草皮等杂质。
垫层施工必须保证达到设计要求的密实度。根据施工时使用的机具不同,施工方法可分为机械碾压法、重锤夯实法、振动压实法等;垫层的砂料必须具有良好的压实性;开挖基坑铺设垫层时,必须避免对软弱土层的扰动和破坏坑底土的结构。
4.质量检验
垫层的质量检验包括分层质量检查和工程质量验收。
五、拓展提高
素土垫层或灰土垫层(石灰与土地体积配合比一般为2∶8或3∶7)总称为土垫层,是一种以土治土处理湿陷性黄土地基的传统方法,处理深度一般为1~3m。由于湿陷性黄土地基在外荷载作用下受水浸湿后产生的湿陷变形,包括土的竖向变形和侧向挤出两部分。经载荷试验表明,若垫层宽度超出基础底面宽度较小时,防止浸湿后的地基土产生侧向挤出的作用也较小,地基土的湿陷变形量仍然较大。因此,工程实践中,将垫层每边超出基础底面的宽度,控制在不得小于垫层厚度的40%以内,并且不得小于0.5m。通过处理基底下的部分湿陷性土层,可以达到减小地基的总湿陷量,并控制未处理土层的湿陷量不大于规定值,以保证处理效果。
素土垫层或灰土垫层按垫层布置范围可分为局部垫层和整片垫层。在应力扩散角满足要求的前提下,前者仅布置在基础(单独基础、条形基础)底面以下一定范围内,而后者则布置于整个建筑物范围内。为了保护整个建筑物范围内垫层下的湿陷性黄土不致受水浸湿,整片土垫层超出外墙基础外缘的宽度不宜小于土垫层的厚度,并且不得小于2m。当仅要求消除基底下处理土层的湿陷性时,宜采用素土垫层,除了上述要求以外,还要求提高地基土的承载力或水稳性时,则宜采用灰土垫层。
经研究证实,作为燃煤电厂废弃物的粉煤灰,也是一种良好的地基处理材料,由于该材料的物理、力学性能能满足地基处理工程设计的技术要求,从而使利用粉煤灰作为地基处理材料成为岩土工程领域的一项新技术。
粉煤灰类似于砂质粉土,粉煤灰垫层的应力扩散角θ=22°。粉煤灰垫层的最大干密度和最优含水量在设计和施工前,应按照《土工试验方法标准》(GB/T 50123—1999)的击实试验法测定。粉煤灰的内摩擦角φ、黏聚力c、压缩模量E和渗透系数k,随粉煤灰的材料性质和压实密度而变化,应该通过室内土工试验确定。
粉煤灰垫层具有遇水后强度降低的特性,其经验数值是:对压实系数λc=0.90~0.95的浸水垫层,其容许承载力可采用120~200kPa,可满足软弱下卧层的强度与地基变形要求;当λc>0.90时,可抗地震液化。
干渣(简称矿渣)亦称高炉重矿渣,是高炉冶炼生铁过程中所产生的固体废渣经自然冷却而形成的,也可以作为一种换土垫层的填料。冶金工业部已制订了相应的技术标准,如《高炉重矿渣应用暂行技术规程》等。
高炉重矿渣在力学性质上最为重要的特点是:当垫层压实效果符合标准时,则荷载与变形关系具有直线变形体的一系列特点;如果垫层压实不佳,强度不足,则会引起显著的非线性变形。
素土垫层或灰土垫层、粉煤灰垫层和干渣垫层的设计可以根据砂垫层的设计原则,再结合各自的垫层特点和场地条件与施工机械条件,确定合理的施工方法和选择各种设计计算参数,并可参照有关的技术和文献资料。
六、拓展练习
1.地基处理有哪些主要方法?
2.换填法的基本原理及作用是什么?
3.换土垫层法中垫层的主要作用是什么?砂垫层的厚度和宽度是如何确定的?
4.砂垫层的施工质量检验可用哪些方法进行检验?
5.某房屋为4层砖混结构,承重墙传至±0.00处的荷载F=200kN/m。地基土为淤泥质土,重度γ=17kN/m3,承载力特征值为60kPa,地下水位深1m。试设计墙基及砂垫层(提示:砂垫层承载力特征值为120kPa,扩散角θ=23°)。

