任务2 预压法
一、任务介绍
预压法又称排水固结法,指直接在天然地基或在设置有袋状砂井、塑料排水带等竖向排水体地基上,利用建筑物本身重量分级逐渐加载或在建筑物建造前在场地先行加载预压,使土体中孔隙水排出,提前完成土体固结沉降,逐步增加地基强度的一种软土地基加固方法。
预压法由加压系统和排水系统两部分组成。加压系统通过预先对地基施加荷载,使地基中的孔隙水产生压力差,从饱和地基中自然排出,进而使土体固结;排水系统则通过改变地基原有的排水边界条件,增加孔隙水排出的途径,缩短排水距离,使地基在预压期间尽快地完成设计要求的沉降量,并及时提高地基土强度。
预压法,是加固软土地基的一种比较成熟、应用广泛的方法,它主要用于解决沉降和稳定问题。本任务主要介绍砂井堆载预压法和真空预压法的基本原理、设计和施工要点。
二、理论知识
1.预压法的原理和适用范围
我国东南沿海和内陆广泛分布着饱和软黏土,该地基土的特点是含水量大、孔隙比大、颗粒细,因而压缩性高、强度低、透水性差。在该地基上直接修建筑物或进行填方工程时,由于在荷载作用下会产生很大的固结沉降和沉降差,并且地基土强度不够,其承载力和稳定性也往往不能满足工程要求,在工程实践中,常采用预压法对软黏土地基进行处理。
根据太沙基固结理论,饱和黏性土固结所需的时间和排水距离的平方成正比。为了加速土层固结,最有效的方法是增加土层排水途径,缩短排水距离。因此常在被加固地基中置入砂井、塑料排水板等竖向排水体,使土层中孔隙水主要从水平向通过砂井和部分从竖向排出,砂井缩短了排水距离,因而大大加速了地基的固结速率。
预压法以事先预测的固结沉降和由于固结使地基强度增长为目标。预压法处理地基应预先通过勘察查明土层在水平方向和竖直方向的分布、层理变化,查明透水层的位置、地下水类型及水源补给情况等。并应通过土工试验确定土层的光期固结压力、孔隙比与固结压力的关系、渗透系数、固结系数、三轴试验抗剪强度指标以及原位十字板抗剪强度等。
预压法的实施包括两个方面:一个是加载预压;另一个是排水,即在地基中做排水通道,以缩短孔隙水渗流距离,加速地基土固结过程。
为了改变地基原有的排水边界条件,增加孔隙水排出的通道,缩短排水距离,加速地基土的固结,常在地基中设置竖向排水体和水平排水体。竖向排水体可采用就地灌筑砂井、袋装砂井、塑料排水板等做成。水平排水体一般由地基表面的砂垫层组成。
施加荷载的目的主要是使土中孔隙水产生压力差而渗流使土固结,常见方法有堆载法、真空法、降低地下水位法等。在实际中,可单独使用一种方法,也可将几种方法联合使用。
通常堆载预压有以下两种情况。
(1)在建筑物建造之前,在场地先进行堆载预压,待建筑物施工时再移去预压荷载。堆载预压减小建筑物沉降的原理如图10-4所示。由图可知,如不先预压直接在场地建造建筑物,则沉降-时间曲线如曲线①所示,其最终沉降量为sf′。经堆载预压,建筑物使用期间的沉降-时间曲线如曲线②所示,其最终沉降量为sf。可见,通过预压,建筑物使用期间的沉降大大减小。
(2)超载预压。在预压过程中,将一超过使用荷载pf的超载ps先加上去,待沉降满足要求后,再将超载移去,建造建筑物,如图10-5所示的建筑物的沉降sf将很小。
预压法处理地基,适合于淤泥质土、淤泥和冲填土等饱和黏性土地基,也可用于可压缩粉土、有机质黏土和泥炭土地基等。预压法已经成功用于码头、堆场、道路、机场跑道、油罐、桥台、房屋建筑等对沉降和稳定性要求比较高的建(构)筑物地基。目前在地基处理工程中广泛采用且行之有效的方法是堆载预压法,特别是砂井堆载预压法。
图10-4 堆载预压法
图10-5 超载预压法
2.砂井堆载预压法
在地基土中打入砂井,利用其作为排水通道,缩短孔隙水排出的途径,而且在砂井顶部铺设砂垫层,砂垫层上部加载以增加土中附加应力。地基土在附加应力的作用下产生超静水压力,并将水排出土体,使地基土提前固结,以增加地基土的强度,这种方法就是砂井堆载预压法(简称砂井法)。典型的砂井地基剖面如图10-6所示。
图10-6 砂井布置立面图
1925年,丹尼尔·莫兰(Daniel E.Moran)最早将垂直砂井用于土的深层加固,并于1926年取得专利。美国加利福尼亚州公路局于1933年至1934年间进行了室内与现场实验,并于1934年建造了第一个砂井工程。1941年开始将此法应用于美国东部地区。与此同时,太沙基也采用了这种方法。
此法早期由于无理论根据而只能按经验设计。直到1940年至1942年间,巴隆(Barron)基于太沙基的固结理论,提出了砂井法的设计与计算方法。20世纪50年代以后逐步发展,到目前为止,该理论计算方法已达到比较完善的水平。我国从20世纪50年代起已开始应用砂井法,至今已经积累了许多宝贵的经验。
砂井法主要适用于承担大面积分布荷载的工程,如水库土坝、油罐、仓库、铁路路堤、储矿场以及港口的水工建筑物(码头、防浪堤)等工程。对泥炭土、有机质黏土和高塑性土等土层,由于土层的次固结沉降占相当大的部分,故砂井排水法起不到加固处理的作用。
1)砂井预压法的设计
(1)砂井的布置。
砂井布置主要包括选择适当的砂井直径、间距、深度、排列方式、布置范围以及形成砂井排水系统所需的材料、砂垫层厚度等,以使地基在堆载预压过程中,在预期的时间内,达到所需要的固结度(通常定为80%)。
①砂井的直径和间距。砂井的直径和间距取决于土的固结特性和施工期的要求。从主要原则上来说,为达到相同的固结度,缩短砂井间距比增加砂井直径的效果要好,即以“细而密”为佳,不过,考虑到施工的可操作性,普通砂井的直径为300~500mm,袋装砂井直径可取70~120mm。塑料排水带的当量换算直径可按式(10-6)计算。
式中:Dp——塑料排水带当量换算直径,mm;
α——换算系数,无试验资料时可取0.75~1.00;
b——塑料排水带宽度,mm;
δ——塑料排水带厚度,mm。
通常砂井的间距可按井径比选用,井径比按式(10-7)确定,普通砂井的间距可按n=6~8选用;袋装砂井或塑料排水带的间距可按n=15~22选用。
式中:de——砂井的有效排水圆柱体直径,mm;
dω——竖井直径,mm。
②砂井深度。砂井深度主要根据土层的分布、地基中的附加应力大小、施工期限和条件及地基稳定性等因素确定。当软土不厚(一般为10~20m)时,尽量要穿过软土层达到砂层;当软土过厚(超过20m),不必打穿黏土,可根据建筑物对地基的稳定性和变形的要求确定。对以地基抗滑稳定性控制的工程,竖井深度应超过最危险滑动面2.0m以上。
③砂井排列。砂井的平面布置可采用正方形或等边三角形,如图10-7所示,在大面积荷载作用下,认为每个砂井均起独立排水作用。为了简化计算,将每个砂井平面上的排水影响面积以等面积的圆来代替,可得一根砂井的有效排水圆柱体的直径de和砂井间距l的关系按下式考虑。
图10-7 砂井的平面布置及固结渗透途径
④砂井的布置范围。由于在基础以外一定的范围内仍然存在压应力和剪应力,所以砂井的布置范围应比基础范围大为好,一般由基础的轮廓线向外增加2~4m。
⑤砂料。砂料宜用中、粗砂,必须保证良好的透水性,含泥量不应超过3%,渗透系数应大于10-3cm/s。
⑥砂垫层。为了使砂井有良好的排水通道,砂井顶部应铺设砂垫层,垫层砂料粒度和砂井砂料相同,厚度一般为0.5~1m。如砂料缺乏,可采用砂沟,一般在纵向或横向每排砂井设置一条砂沟,在另一方向按中间密两侧疏的原则设置砂沟,并使之连通。砂沟的深度一般为500~1 000mm,其宽度取砂井直径的2倍。
(2)砂井地基固结度计算。
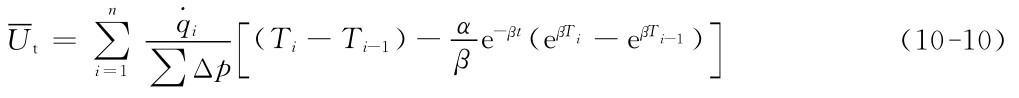
《建筑地基处理技术规范》(JGJ 79—2012)规定一级或多级等速加载条件下,当固结时间为t时,对应总荷载的地基平均固结度可按式(10-10)计算:
式中:
——t时间地基的平均固结度;
——第i级荷载的加载速率,kPa/d;
∑Δp——各级荷载的累加值,kPa;
Ti-1,Ti——分别为第i级荷载加载的起始和终止时间(从零点起算,当计算第i级荷载加载过程中某时间t的固结度时,Ti改为t),d;
α,β——参数,根据地基土排水固结条件按表10-5采用。对于竖井地基,表中所列β为不考虑涂抹和井阻影响的参数值。
当排水竖井采用挤土方式施工时,应考虑涂抹对土体固结的影响。当竖井的纵向通水量与天然土层水平向渗透系数的比值较小,并且长度又较长时,还应考虑井阻影响。瞬时加载条件下,考虑涂抹和井阻影响时,竖井地基径向排水平均固结度可按式(10-11)计算。
其中 F=Fn+FS+Fr (10-12)
表10-5 参数α,β的取值表
注:(1)Cv——土的竖向排水固结系数,cm2/s;
(2)Ch——土的径向排水固结系数,cm2/s;
(3)
——双面排水土层或固结应力均不分布的单面排水土层平均固结度;
(4)
,井径比n=de/dω。
式中:
——固结时间t时竖井地基径向排水的平均固结度;
kh——天然上层水平向渗透系数,cm/s;
ks——涂抹区土的水平向渗透系数,可取ks=(1/5~1/3)kh,cm/s;
s——涂抹区直径de与竖井直径dω的比值,可取s=2.0~3.0,对中等灵敏黏性土取低值,对高灵敏黏性土取高值;
L——竖井深度,cm;
qω——竖井纵向通水量,为单位水力梯度下单位时间的排水量,cm3/s。
一级或多级等速加荷条件下,考虑涂抹和井阻影响时竖井穿透受压土层地基之平均固结度可按式(10-10)计算,其中α=8/π2,β=
2)施工要点
(1)砂井施工。
砂井施工一般先在地基中成孔,再在孔内灌砂形成砂井。表10-6为砂井成孔和灌砂方法,选用时应尽量选用对周围土扰动小且施工效率高的方法。
表10-6 砂井成孔和灌砂方法
砂井成孔的典型方法有套管法、射水法、螺旋钻成孔法和爆破法。
①套管法。
该法是将带活瓣管尖或套用混凝土端靴的套管沉到预定深度,然后在管内灌砂、拔出套管形成砂井。根据沉管工艺的不同,又分为静压沉管法、锤击沉管法、锤击静压联合沉管法和振动沉管法等。
静压、锤击及其联合沉管法提管时易将管内砂柱带起来,造成砂井缩颈或断开,影响排水效果,辅以气压法虽有一定效果,但工艺复杂。
采用振动沉管法,是以振动锤为动力,将套管沉到预定深度,灌砂后振动、提管形成砂井。其能保证砂井连续,但其振动作用对土的扰动较大。此外,沉管法的一个公共缺点是由于击土效应产生一定的涂抹作用,影响孔隙水排出。
②水冲成孔法。
该法是通过专用喷头、依靠高压下的水射流成孔,成孔后经清孔、灌砂形成砂井。
射水成孔工艺,对土质较好且均匀的黏性土地基是较适用的,但对土质很软的淤泥,因成孔和灌砂过程中容易缩孔,很难保证砂井的直径和连续性,对夹有粉砂薄层的软土地基,若压力控制不严,宜在冲水成孔时出现串孔,对地基扰动较大。
射水成孔的设备比较简单,对土的扰动较小,但在泥浆排放、塌孔、缩颈、串孔、灌砂等方面都存在一定的问题。
③螺旋钻成孔法。
该法以螺旋钻具干钻成孔,然后在孔内灌砂形成砂井。此法适用于陆上工程,砂井长度在10m以内,土质较好,不会出现缩颈和塌孔现象的软弱地基。该法所用设备简单而机动,成孔比较规整,但灌砂质量较难掌握,对很软弱的地基也不适用。
④爆破成孔法。
此法是先用直径73mm的螺纹钻钻成一个砂井所要求设计深度的孔,在孔中放置由传爆线和炸药组成的条药包,爆破后将孔扩大,然后往孔内灌砂形成砂井。这种方法施工简易,不需要复杂的机具,适用于深为6~7m的浅砂井。
(2)砂料选择。
制作砂井的砂宜选用渗透性好的砂料,以减小砂井阻力的影响。一般选用含泥量小于3%的中粗砂或矿渣,但渗透系数不得小于10-2cm/s。
垫层的砂料宜用透水性好的中粗砂,其含泥量不得大于4%,砂垫层的干密度宜大于1.5t/m3,其渗透系数不宜小于10-2cm/s。
(3)质量控制。
砂井施工要求:保证砂井连续和密实,并且不出现颈缩现象;尽量减少对周围土的扰动;砂井的长度、直径和间距应满足设计要求。砂井位置的允许偏差为该井的直径,垂直度的允许偏差为1.5%。砂井的灌砂量,应按砂在中密状态时的干重度和井管外径所形成的体积计算,其实际灌砂量按质量控制要求,不得小于计算值的95%。
施工时应进行现场测试:①边桩水平位观测,主要用于判断地基的稳定性,决定安全的加荷速率,要求边桩位移速率控制在3~5mm/d;②地面沉降观测,主要控制地面沉降速度,要求最大沉降速率不宜超过10mm/d;③孔隙水压力观测,用于计算土体固结度、强度及强度增长,分析地基的稳定,从而控制堆载速度,防止堆载过多、过快导致地基破坏。
3.真空预压法
真空预压(vacuum preloading)是在需要加固的软土地基表面先铺设砂垫层,然后埋设垂直排水通道,再用不透气的封闭膜使其与大气隔绝,薄膜四周埋入土中,通过砂垫层内埋设的吸水管道,用真空装置进行抽气,先后在地表砂垫层和竖向排水通道内形成负压,使土体内部与排水通道、砂垫层之间形成压力差。在此压力差作用下,土体中的孔隙水不断地从排水通道中排出,从而使土体固结,如图10-8和图10-9所示。
真空预压的原理主要反映在以下几个方面。
(1)薄膜上面承受等于薄膜内外压差的荷载。
(2)地下水位降低,相应增加附加应力。
(3)封闭气泡排出,土的渗透性加大。
图10-8 真空预压地基
1—砂井;2—砂垫层;3—薄膜;4—抽水、气;5—黏土
图10-9 用真空方法增加的有效应力
1)真空预压法的特点及适用范围
(1)设备及施工工艺简单,省略了加荷、卸荷工序,缩短了预压时间,节省了大量原材料、能源和运输能力,无噪声、无振动、无污染,技术经济效果显著。
(2)在真空预压过程中,加固体内外大气压差,孔隙水的渗流方向,渗透力引起的附加应力等均指向被加固土体,所引起的侧向变形也指向被加固土体。真空预压可一次施加,地基不会发生剪切破坏而引起地基失稳,可有效缩短总的排水固结时间。
(3)真空所产生的负压使地基土的孔隙水加速排出,可缩短固结时间;同时由于孔隙水排出,地下水位降低,由渗透力和降低水位引起的土中有效自重应力也随之增大,提高了加固效果;并且负压可通过管路送到任何场地,适应性强。
真空预压法适用于均质黏性土及含薄粉砂夹层黏性土等,尤其适用于新吹填土地基的加固。对于在加固范围内有足够补给水源的透水层,而又没有采取隔断措施时,不宜采用该法。
2)真空预压法施工
(1)工艺流程。
真空预压法为保证在较短的时间内达到加固效果,一般与竖向排水井联合使用,其工艺布置及流程如图10-10和图10-11所示。
图10-10 真空预压工艺流程
图10-11 典型工程真空预压工艺设备
(2)水平向分布滤水管埋设。
水管的主要作用是使真空度在整个加固区域内均匀分布。滤水管在预压过程中应能适应地基的变形,特别是差异变形。滤水可用钢管或塑料管,其外侧宜缠绕铅丝,外包尼龙砂网或土工织物作为滤水层。滤水管在加固区内的分布形式可采用条状、梳子状或羽毛状等形状,如图10-12所示。滤水管埋设在排水砂垫层中间,其上应有100~200mm砂层覆盖。
图10-12 真空分布管排列示意图
1—真空压力分布管;2—集水管;3—出膜口
(3)封闭膜的铺设。
密封膜铺设质量是真空预压加固法成败的关键。密封膜应选用抗老化性能好、韧性大、抗穿刺能力强的不透气材料。普通聚氯乙烯薄膜虽可使用,但性能不如线性聚乙烯等专用膜好。密封膜热合时宜用双热合缝平搭接,搭接长度应大于15mm。密封膜宜铺设三层,以确保自身密封性能。膜周边可采用挖沟折铺、平铺并用黏土压边,围捻沟内覆水以及膜上全面覆水等方法进行密封。当处理区内有充足水源补给的透水层时,应采用封闭式板桩墙、封闭式板桩墙加沟内覆水或其他密封措施隔断透水层,如图10-13所示。
图10-13 薄膜周边密封方法
1—密封膜;2—填土压实;3—钢板桩;4—覆水
(4)抽真空设备的施工。
抽真空设备主要包括出膜装置和真空射流泵。出膜装置是指膜下的主管与膜外的抽真空装置相连接的一种装置。真空射流泵包括离心泵、射流喷嘴和循环水箱,射流喷嘴和循环水箱由玻璃钢制成。真空泵的设置数量应根据预压面积、真空泵性能指标以及施工经验确定,让每块预压区至少设置两台真空泵。对真空泵性能的一般要求是,抽真空效率高,能适应连续运转,工作可靠等。
(5)质量控制。
真空分布管的距离要适当,使真空度分布均匀,包管滤膜渗透系数不小于10-2cm/s;真空泵及膜内真空度应达到96kPa和73kPa以上的技术要求;地表总沉降应符合一般堆载预压时的沉降规律。如发现异常应及时采取措施,以免影响最终加固效果。
三、任务实施
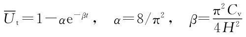
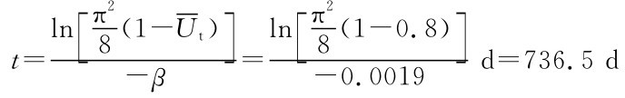
【例10-3】 某建筑地基采用预压排水固结法加固地基,软土厚度为10m,软土层上下均为砂土层,未设置竖井排水。为简化计算,假定预压是一次瞬时施加的。已知该土层的孔隙比为1.60,压缩系数为0.8MPa-1,竖向渗透系数为5.8×10-7cm/s。试计算预压时间为多少天,软土地基固结度达到0.8。
【解】 
若双面排水,则H=10/2m=5m。
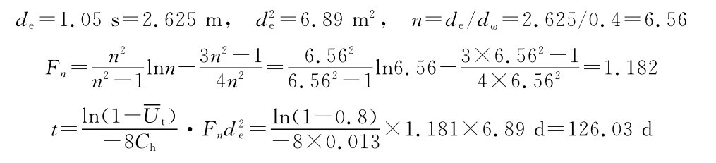
【例10-4】 某地基下分布有15m软黏土层,其下为粉细砂层,采用砂井加固,井径dω=0.4m,井距s=2.5m,等边三角形布桩,土的固结系数Cv=Ch=1.5×10-3cm/s。在大面积荷载作用下,按径向固结考虑,当固结度达到80%时需要时间为多少天?
【解】 由平均固结度公式可知:
四、任务小结
预压法是对天然地基加载预压,或先在天然地基中设置砂井(袋装砂井或塑料排水板)等竖向排水体,然后利用建筑物本身重量分级逐渐加荷,或在建筑物建造前在场地先行加载预压,使土体中的孔隙水排出,土体逐渐固结,地基发生沉降,同时强度逐步提高的一种方法。
砂井地基的设计工作包括选择适当的砂井排水系统所需的材料、砂垫层厚度等,以便使地基在堆载过程中达到所需要的固结度。砂井的布置包括确定砂井直径、间距、深度、砂井布置范围和砂垫层的布置范围、铺设厚度等。
真空预压法处理地基必须设置排水竖井。设计内容包括:竖井断面尺寸、间距、排列方式和深度的选择;预压区面积和分块大小;真空预压工艺;要求达到的真空度和土层的固结度;真空预压和建筑物荷载下地基的变形计算;真空预压后地基土的强度增长计算等。
五、拓展提高
1.降低地下水位法
降低地下水位法是指利用井点降水,使地下水位下降,以增加土的自重应力,达到预压加固的目的。由于地基土自重应力的增加,将导致地基发生附加沉降。降低地下水位,使地基中的软土承受了相当于水位下降高度的水柱重量,因而地基产生固结,这种增加有效应力的方法如图10-14所示。
降低地下水位法最适用于砂性土地基,或在软黏土层中存在砂或粉土的情况。对于深厚的软黏土层,常设置砂井并采用井点法来降低地下水位,以加速其固结。当应用真空装置降水时,地下水位可降低5~6m。
降水方法的选用与土层的渗透性关系密切,可参考表10-7。
表10-7 各类井点的适用范围
续表
图10-14 降低地下水位和增加有效应力的关系
2.电渗法
在地基土中插入金属电极并通以直流电,在直流电场的作用下,土中的水分从阳极流向阴极,这种现象称电渗。如果将汇聚在阴极的水排除,而在阳极不予补充,那么土层就会固结,引起土层的压缩。
电渗法应用于饱和粉土和粉质黏土、正常固结黏土以及孔隙水电解浓度低的情况下是经济和有效的。在实际工程中,可利用电渗法降低黏土中的含水量和地下水位。以提高土坡和基坑边坡的稳定性;利用电渗法也可以加速堆载预压饱和黏性土地基的固结和提高强度等。
六、拓展练习
1.预压法的基本原理及适用范围?
2.堆载预压有哪几种情况?
3.砂井堆载预压法的原理及适用范围?
4.砂井设计要点包括哪几个方面?
5.砂井成孔的方法有哪几种?
6.真空预压法的原理及适用范围?
7.某高速公路路堤建在饱和软黏土地基上,厚8m,其下为砂层,打穿软黏土到达砂层的砂井直径为0.3m,平面等边三角形布置,间距L=2.0m;若竖向固结系数Cv=1.5×10-3cm/s,水平固结系数Ch=1.5×10-3cm/s,求一个月的固结度?(提示:应考虑双面排水)

