任务2 浅基础设计的基本内容
一、任务介绍
本任务介绍了确定基础埋深的影响因素,如建筑物的用途及基础的型式和构造,作用在地基上的荷载大小和性质,工程地质和水文地质条件,相邻建筑物的基础埋深,相邻建筑物的基础埋深,地基土冻胀和融陷的影响。重点介绍了如何按持力层承载力确定基底尺寸,以及地基软弱下卧层承载力验算。
二、理论知识
1.地基基础设计等级
《建筑地基基础设计规范》(GB 50007—2011)根据地基的复杂程度、建筑物的规模和功能特征,考虑到地基问题可能会造成建筑破坏的程度和影响建筑物正常使用的程度,将地基基础设计分为甲级、乙级、丙级三个等级(见表7-2)。设计时应按表7-2中的规定确定地基基础的设计等级。
(1)设计等级为甲、乙级的建筑物均应按地基变形设计。
S≤[S] (7-1)
式中:S——地基变形值,计算方法见本书项目3;
[S]——地基允许变形值,见表7-3。
(2)设计等级为丙级的建筑物,若满足表7-4的条件时可不作变形验算。
表7-2 地基基础设计等级
表7-3 建筑物的地基变形允许值
续表
注:(1)本表数值为建筑物地基实际最终变形允许值;
(2)有括号者仅适用于中压缩性土;
(3)l为相邻柱基的中心距离(mm);Hg为自室外地面起算的建筑物高度(m);
(4)倾斜指基础倾斜方向两端点的沉降差与其距离的比值;
(5)局部倾斜指砌体承重结构沿纵向6~10m内基础两点的沉降差与其距离的比值。
表7-4 可不作地基变形计算设计等级为丙级的建筑物范围
注:(1)地基主要受力层系指条形基础底面下深度为3b(b为基础底面宽度),独立基础下为1.5b,并且厚度均不小于5m的范围(二层以下一般的民用建筑除外);
(2)地基主要受力层中如有承载力特征值小于130kPa的土层时,表中砌体承重结构的设计,应符合《建筑地基基础设计规范》(GB 50007—2011)第7章的有关要求;
(3)表中砌体承重结构和框架结构均指民用建筑,对于工业建筑可按厂房高度、荷载情况折合成与其相当的民用建筑层数;
(4)表中吊车额定起重量、烟囱高度和水塔容积的数值系指最大值。
若遇下列情况,仍应作变形验算。
①地基承载力特征值小于130kPa,并且体型复杂的建筑。
②在基础上及其附近有地面堆载或相邻基础荷载差异较大,可能引起地基产生过大的不均匀沉降时。
③软弱地基上的建筑物存在偏心荷载时。
④相邻建筑距离过近,可能发生倾斜时。
⑤地基内有厚度较大或厚薄不均的填土,其自重固结未完成时。
(3)地基稳定性验算。
对经常受水平荷载作用的高层建筑、高耸结构和挡土墙等,以及建造在斜坡上或边坡附近的建筑物和构筑物,还应验算其稳定性。
(4)建筑物抗浮验算。
当地下水埋藏较浅,建筑地下室或地下构筑物存在上浮问题时,还应进行抗浮验算。
2.基础埋置深度的确定
基础埋置深度是指从室外设计地面至基础底面的距离,如图7-8所示。
图7-8 基础埋深示意图
基础埋置深度的大小,对于建筑物的安全和正常使用、基础施工技术措施、施工工期和工程造价等影响很大。设计时必须综合考虑建筑物自身条件(如使用条件、结构型式、荷载的大小和性质等)以及所处的环境(如地质条件、气候条件、邻近建筑的影响等),选择技术可靠、经济合理的基础埋置深度。
确定基础埋置深度的原则是:在满足地基稳定和变形要求的前提下,基础应尽量浅埋,以节省投资、方便施工。考虑地面动植物、耕土层等因素对基础的影响,除岩石基础外,基础埋深不宜小于0.5m。
基础埋置深度,应综合考虑以下因素后加以确定。
1)建筑物的用途及基础构造
某些建筑物要求具有一定的使用功能或宜采用某种基础型式,这些要求常成为其基础埋深选择的先决条件。例如,设置地下室或设备层的建筑物、使用箱形基础的高层或重型建筑、具有地下部分的设备基础等,其基础埋置深度应根据建筑物地下部分的设计标高、设备基础底面标高来确定。
不同基础的构造高度也不相同,基础埋深自然不同。为了保护基础不露出地面,构造要求基础顶面至少应低于室外设计地面0.1m。
2)作用在地基上的荷载大小和性质
荷载大小不同,对地基承载力的要求也就不同,因而直接影响到持力层的选择。如浅层某一深度的土层,对荷载小的基础可能是很好的持力层,而对荷载大的基础,可能不宜作为持力层。荷载的性质对基础埋置深度的影响也很明显。承受水平荷载的基础,必须有足够的埋置深度来获得土的侧向抗力,以保证基础的稳定性,减少建筑物的整体倾斜,防止倾覆及滑移。例如,抗震设防区,高层建筑筏形和箱形基础的埋置深度,采用天然地基时一般不宜小于建筑物高度的1/15;桩箱或桩筏基础的埋置深度(不计桩长)不宜小于建筑物高度的1/18;承受上拔力的基础,如输电塔基础,也要求有较大的埋深以提供足够的抗拔阻力;承受动荷载的基础,则不宜选择饱和疏松的粉细砂作为持力层,以免这些土层由于振动液化而丧失承载力,造成基础失稳。
3)工程地质和水文地质条件
为了保证建筑物的安全,必须根据荷载的大小和性质给基础选择可靠的持力层。一般当上层土的承载力能满足要求时,应选择作为持力层,若其下有软弱土层时,则应验算其承载力是否满足要求。当上层土软弱而下层土承载力较高时,则应根据软弱土的厚度决定基础做在下层土上还是采用人工地基或桩基础与深基础。总之,应根据结构安全、施工难易和材料用量等进行比较确定。
对墙基础,如地基持力层顶面倾斜,可沿墙长将基础底面分段做成高低不同的台阶状。分段长度不宜小于相邻两段面高差的1~2倍,并且不宜小于1m。
如遇到地下水,基础应尽量埋置于地下水位以上,以避免地下水对基坑开挖、基础施工和使用的影响。如必须将基础埋在地下水位以下时,则应采取施工排水措施,保护地基土不受扰动。对于承压水,则应考虑承压水上部隔水层最小厚度问题,以避免承压水冲破隔水层,浸泡基槽。对河岸边的基础,其埋深应在流水冲刷作用深度以下。
4)相邻建筑物的基础埋深
当存在相邻建筑物时,新建建筑物的基础埋深不宜大于原有建筑基础。当埋深大于原有建筑物时,两基础间应保持一定净距,其数值应根据原有建筑荷载大小、基础形式和土质情况确定,一般应不小于两基础底面高差的1~2倍,如图7-9所示。当上述要求不能满足时,应采取分段施工,设临时加固支撑,打板桩,地下连续墙等施工措施,或加固原有建筑物地基,以免开挖新基槽时危及原有基础的安全稳定性。
图7-9 相邻基础的埋深
5)地基土冻胀和融陷的影响
冻土分为季节性冻土和多年冻土。季节性冻土是冬季冻结、天暖解冻的土层,在我国北方地区分布广泛。土体冻结发生体积膨胀和地面隆起的现象称为冻胀,若冻胀产生的上抬力大于基础荷重,基础就有可能被上抬;土层解冻时,土体软化、强度降低、地面沉陷的现象称为融陷。地基土的冻胀与融陷通常是不均匀的,因此,容易引起建筑物开裂损坏。
季节性冻土的冻胀性与融陷性是相互关联的,常以冻胀性加以概括。《建筑地基基础设计规范》(GB 50007—2011)根据土的类别、冻前天然含水量和冻结期间地下水位距冻结面的最小距离,将地基土的冻胀性划分为不冻胀、弱冻胀、冻胀、强冻胀和特强冻胀五类。
在确定基础埋置深度时,对于不冻胀土可不考虑冻结深度的影响;对于弱冻胀土、冻胀土、强冻胀土和特强冻胀土,可用下式计算基础的最小埋置深度。
dmin=zd-hmax (7-2)
式中:zd——设计冻深。
zd按下式计算
zd=z0·ψzs·ψzw·ψze (7-3)
若当地有多年实测资料时,上式也可写为zd=h′-Δz,h′和Δz分别为实测冻土层厚度和地表冻胀量。
式中:z0——标准冻深,系采用在地表平坦、裸露、城市之外的空旷场地中不少于10年实测最大冻深的平均值,当无实测资料时,按《建筑地基基础设计规范》(GB 50007—2011)附录F(中国季节性冻土标准冻深线图)采用;
ψzs——土的类别对冻深的影响系数,按表7-5选用;
ψzw——土的冻胀性对冻深的影响系数,按表7-6选用;
ψze——环境对冻深的影响系数,按表7-7选用;
hmax——基础底面下允许残留冻土层的最大厚度,按《建筑地基基础设计规范》(GB 50007—2011)附录G.0.2查取。当有充分依据时,基底下允许残留冻土层厚度也可根据当地经验确定。
在冻胀、强冻胀、特强冻胀地基上,还应按《建筑地基基础设计规范》(GB 50007—2011)的要求采取相应的防冻害措施。
表7-5 土的类别对冻深的影响系数
表7-6 土的冻胀性对冻深的影响系数
表7-7 环境对冻深的影响系数
注:环境影响系数一项,当城市市区人口为20万~50万时,按城市近郊取值;当城市市区人口大于50万但小于或等于100万时,按城市市区取值;当城市市区人口超过100万时,按城市市区取值,5km以内的郊区应按城市近郊取值。
3.地基承载力的确定
《建筑地基基础设计规范》(GB 50007—2011)规定,地基承载力特征值可由载荷试验或其他原位测试、公式计算并结合工程实践经验等方法综合确定。
1)根据现场原位测试确定
现场原位测试有载荷试验、静力触探试验、圆锥动力触探、标准贯入试验、十字板剪切试验、旁压试验等。
(1)载荷试验 《建筑地基基础设计规范》(GB 50007—2011)对根据p-s曲线确定承载力特征值做了如下规定:①当p-s曲线上有比例界限时,取该比例界限所对应的荷载值;②当极限荷载小于对应比例界限的荷载值的2倍时,取极限荷载值的一半;③不能按上述两条的要求确定时,当压板面积为0.25~0.5m2时,可取s/b=0.01~0.015所对应的荷载,但其值不应大于最大加载量的一半。
另外,同一土层参加统计的试验点不应少于三点。当试验实测值的极差不超过其平均值的30%时,取此平均值作为该土层的地基承载力特征值fak。由于承压板尺寸较小,其在地基土中的影响范围有限,其值约为承压板宽度或直径的2倍;加之成层土的影响,不能充分反映实际基础下地基土的性状,应考虑承压板与实际基础的尺寸效应。
(2)静力触探 静力触探是通过静力将触探头压入土层,利用电测技术测得贯入阻力,再根据地区经验关系,即可估算地基承载力。
(3)动力触探 动力触探根据探头结构的不同分为标准贯入试验和圆锥动力触探试验。它们是用一定质量的击锤以一定高度自由下落,将探头打入地基土中,测定使探头贯入土中一定深度的锤击数,并根据击数的N值大小来判定土的工程性质,确定地基承载力。
2)根据理论公式确定
《建筑地基基础设计规范》(GB 50007—2011)推荐下式作为地基承载力特征值的理论计算公式。
fa=Mb·γb+Md·γm·d+Mc·ck (7-4)
式中:fa——由土的抗剪强度指标确定的地基承载力特征值;
Mb、Md、Mc——承载力系数,按规范中表5.2.5确定;
b——基础底面宽度,大于6m时按6m取值,对于砂土小于3m时按3m取值;
ck——基底下一倍短边宽深度内土的黏聚力标准值。
公式(7-4)是以p1/4为基础得来的,适用于偏心距e≤0.033倍基础底面宽度的情况。由于按土的抗剪强度确定地基承载力时没有考虑建筑物对地基变形的要求,因此按式(7-4)所得承载力确定基础底面尺寸后,还应进行地基变形验算。
3)根据经验方法确定
当拟建建筑场地附近已有建筑物时,调查这些建筑物的结构形式、荷载、基底土层性状、基础形式尺寸和采用的地基承载力数值以及建筑物有无裂缝和其他损坏现象等来确定地基承载力。这种方法一般适用于荷载不大的中、小型工程。
4)地基承载力特征值的修正
当地基宽度大于3m或埋置深度大于0.5m时,从载荷试验或其他原位测试、经验值等方法确定的地基承载力特征值,还应按下式修正。
fa=fak+ηbγ(b-3)+ηdγm(d-0.5) (7-5)
式中:fa——修正后的地基承载力特征值,kPa;
fak——地基承载力特征值,kPa;
ηb、ηd——基础宽度和埋深的地基承载力修正系数,按基底下土的类别查表7-8取值;
γ——基础底面以下土的重度,地下水位以下取有效重度,kN/m3;
b——基础底面宽度(当基宽小于3m按3m取值,大于6m按6m取值),m;
γm——基础底面以上土的加权平均重度,地下水位以下取有效重度;
d——基础埋置深度,一般自室外地面标高算起,m。
在填方整平地区,基础埋置深度可自填土地面标高算起,但填土在上部结构施工后完成时,应从天然地面标高算起。对于地下室,如采用箱形基础或筏基时,基础埋置深度自室外地面标高算起;当采用独立基础或条形基础时,应从室内地面标高算起。
表7-8 承载力修正系数
注:(1)强风化和全风化的岩石,可参照所风化成的相应土类取值,其他状态下的岩石不修正;
(2)地基承载力特征值按《建筑地基基础设计规范》(GB 50007—2011)附录D深层平板载荷试验确定时,ηd取0。
4.基础底面尺寸的确定
1)按持力层的承载力确定基底尺寸
确定基础埋深后,就可按持力层修正后的地基承载力特征值计算所需的基础底面尺寸。
(1)轴心荷载作用下的基础。
轴心荷载作用下,认为基底压力均匀分布,如图7-10所示,要求符合下式要求。
图7-10 轴心荷载作用下的基础
pk≤fa (7-6)
式中:pk——相应于荷载效应标准组合时,基础底面处的平均压力值,kPa;
fa——修正后的地基承载力特征值,kPa。
式中:Fk——相应于荷载效应标准组合时,上部结构传至基础顶面的竖向力值,kN;
Gk——基础自重和基础上的土重,kN;
A——基础底面面积。
其中 
式中:γG——基础及其台阶上回填土的平均重度,一般取20kN/m3,但在地下水位以下部分应取有效重度;
d——基础平均埋深,m。
将式(7-7)代入式(7-6)得
①对于矩形基础,有
式中,b和l为基础底面宽度和长度。
②对于条形基础,沿长度方向取1m作为计算单元,即l=1m,代入式(7-9)得
式中:Fk——单位长度基础上相应于荷载效应标准组合时,上部结构传至基础顶面的竖向力值, kN/m。
必须指出,在按上述公式计算基础底面尺寸时,需要先确定修正后的地基承载力特征值fa,但fa又与基础底面宽度b有关,即公式中的fa与A都是未知数,因此,需要通过试算确定。计算时,可先假定基底宽度b≤3m,对地基承载力特征值只进行深度修正,计算fa值,按上述公式计算出b和l。若b≤3m,表示假定成立,计算结束;若b≥3m,表示假定错误,需按上一轮计算所得b值进行地基承载力特征值宽度修正,用深宽修正后新的fa值重新计算b和l。试算的轮数越多,结果就越接近精确值。
(2)偏心荷载作用下的基础。
如图7-11所示,在偏心荷载的作用下,按照《建筑地基基础设计规范》(GB 50007—2011),检查基底应力是否满足下述要求。
图7-11 偏心荷载作用下的基础
式中:pkmax——相应于荷载效应标准组合时,基础底面边缘的最大压力值,kPa。
pkmax的计算方法详见书中项目2。
在计算偏心荷载作用下的基础底面尺寸时,通常可按下述试算法进行。
①先按轴心荷载作用下的公式(7-8),计算基础底面积A0,即满足式(7-6)。
②根据荷载偏心距的大小将A0增大10%~40%,使A=(1.1~1.4)A0。
③计算偏心荷载作用下的pkmax,验算是否满足式(7-11)。如不合适,可调整基底尺寸再验算,直到满足要求。
2)地基软弱下卧层承载力验算
当地基受力层范围内存在软弱下卧层时(承载力显著低于持力层的高压缩性土层),按持力层土的承载力计算得出基础底面尺寸后,还必须对软弱下卧层进行验算,要求作用在软弱下卧层顶面处的附加压力与自重压力之和不超过它的修正后的承载力特征值,即
图7-12 软弱下卧层承载力验算
pz+pcz≤faz (7-12)
式中:pz——相应于荷载效应标准组合时,软弱下卧层顶面处的附加压力值,kPa;
pcz——软弱下卧层顶面处土的自重压力值,kPa;
faz——软弱下卧层顶面处经深度修正后地基承载力特征值,kPa。
当持力层与软弱下卧土层的压缩模量比值Es1/Es2≥3时,对条形和矩形基础,可采用压力扩散角方法计算pz值。如图7-12所示,假设基底处的附加压力p0向下传递时按某一角度θ向外扩散。根据基底与软弱下卧层顶面处扩散面积上的附加压力总值相等的条件,可得
条形基础
矩形基础
式中:b——矩形基础或条形底面宽度,m;
l——矩形基础底面长度,m;
z——基础底面至软弱下卧层顶面的距离,m;
pc——基底处土的自重应力标准值,kPa;
θ——地基土压力扩散线与垂直线的夹角,可按表7-9采用。
表7-9 地基压力扩散角θ
注:(1)Es1为上层土压缩模量;Es2为下层土压缩模量;
(2)z/b<0.25时取θ=0°,必要时,宜由试验确定;z/b>0.50时θ值不变。
三、任务实施
【例7-2】 如图7-13所示,某柱地基为均质黏性土层,重度γ=17.5kN/m3,孔隙比e=0.71,液性指数IL=0.77,地基承载力特征值fak=230kPa,柱截面尺寸为300×400mm,上部结构传至地表的荷载效应标准值Fk=800kN,Mk=80kN·m,水平荷载Vk=13kN,地基土为黏性土,试计算柱下独立基础的底面尺寸。
【解】 (1)求修正后的地基承载力特征值fa。
假定基底宽度b<3m,由于基础埋深d=1.0m>0.5m,故仅需进行深度修正。查表得ηd=1.6,则持力层承载力为
fa=fak+ηdγm(d-0.5)=230kPa+1.6×17.5×(1.0-0.5)kPa=244kPa
图7-13 例7-1示意图
注意:基础的埋深d按室外地面起算为(1.3-0.3)m=1.0m。
(2)初步选择基础底面积。
计算基础和回填土所受重力Gk的基础埋深采用平均埋深d,即
由公式(7-8)可得
由于偏心力矩中等,基础底面积按20%增大,即
A=1.2A0=1.2×3.11m2=3.73m2
初步选择基础底面积
A=lb=2.4×1.6=3.84m2≥3.73m2
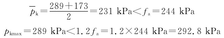
(3)验算持力层的地基承载力。
基础及回填土所受重力Gk为
偏心距为
所以,基底压力最大、最小值为
验算
结论:地基承载力满足要求。
【例7-3】 某场地土层分布如图7-14所示,上层为黏性土,厚度为2.5m,重度γ=18kN/m3,压缩模量Es1=8MPa,地基承载力特征值fak=200kPa,下层为淤泥质土,压缩模量Es1=1.6MPa,地基承载力特征值fakz=100kPa,上部结构传至地表的荷载效应标准组合竖向力值Fk=800kN,作用在条形基础顶面的中心,暂定基础埋深0.5m,底宽1.8m,试验算所选基础宽度是否合适。
图7-14 例7-2示意图
【解】 (1)验算持力层承载力,沿长度方向取1m作为计算单元。
修正后的持力层承载力为
fa=fak+ηbγ(b-3)+ηdγ0(d-0.5)=200kPa
基础及回填土重Gk为
Gk=γGdb=20×0.5×1.8kN/m=18kN/m
基底压力平均值pk为
结论:持力层承载力满足要求。
(2)软弱下卧层验算。
查表得应力扩散角θ=25°。
软弱下卧层顶面处的附加应力值
软弱下卧层顶面处土的自重应力
软弱下卧层顶面处的承载力值的计算如下。
由淤泥质土fakz=100kPa,查表可得ηdz=1.0。
γ0=18kPa
faz=fakz+ηdzγ0(d+z-0.5)=100kPa+1×18×(2.5-0.5)kPa=156kPa
pz+pcz=(82+45)kPa=127kPa<faz=136kPa
结论:软弱下卧层承载力满足要求。
四、任务小结
1.地基基础设计等级的划分,将地基基础设计分为甲级、乙级、丙级三个等级;地基基础设计的基本要求,应满足以下几点要求:①承载力基本条件;②地基变形条件;③地基稳定性验算;④建筑物抗浮验算。
2.确定基础埋深的影响因素,有建筑物的用途及基础的型式和构造,作用在地基上的荷载大小和性质,工程地质和水文地质条件,相邻建筑物的基础埋深,相邻建筑物的基础埋深,地基土冻胀和融陷的影响。
3.如果按持力层的承载力确定基底尺寸,按下式计算。
(1)轴心荷载作用下的基础 
(2)偏心荷载作用下的基础 
另外,对地基软弱下卧层承载力采用公式pz+pcz≤faz验算。
五、拓展练习
1.地基基础设计有哪些要求和基本规定?选择基础埋深应考虑哪些因素?
2.某柱下钢筋混凝土独立锥形基础,基础底面尺寸为2.0m×2.5m。持力层为粉土,其下为淤泥质软弱层。由柱底传来竖向力Fk,力矩Mk和水平力Vk,如图7-15所示。基础自重和基础上土重标准值用的平均重度γG=20kN/m3。求:(1)基底持力层修正后的承载力特征值fa;(2)Fk=902kN,Mk=180kN·m,Vk=51kN时,基础底面处的平均压力标准值pk,最大压力标准值pkmax是多少?(3)淤泥质土软弱下卧层顶面处,经深度修正后,其地基承载力特征值faz是多少?
图7-15 习题2示意图
3.某柱下独立基础,土层与基础所受荷载情况如图7-16所示,基础埋深1.5m,Fk=300 kN,M′k=50kN·m,Vk=300kN。试根据持力层地基承载力确定基础底面尺寸。
4.验算习题2中软弱下卧层强度是否满足要求。
图7-16 习题3示意图

