任务3 浅基础设计及计算
一、任务介绍
本任务介绍了无筋扩展基础的构造要求和高度确定,以及无筋扩展基础的设计;钢筋混凝土扩展基础的构造要求,墙下钢筋混凝土条形基础设计及计算,钢筋混凝土独立基础设计的计算步骤。本任务是对前面知识的综合运用,使读者初步掌握简单基础的设计步骤,设计思路,能为其他基础设计起到举一反三的作用。
二、理论知识
1.无筋扩展基础设计
无筋扩展基础的构造要求和高度H0确定。
(1)材料及适用性。
无筋扩展基础系指由砖、毛石、混凝土或毛石混凝土、灰土和三合土等材料组成的墙下条形基础或柱下独立基础。无筋扩展基础适用于多层民用建筑和轻型厂房。
(2)基础高度H0。
扩展基础可以是同种材料,也可以是两种以上材料组成。基础的高度可以通过高宽比确定,这里扩展基础的宽高比tanα=b2/H0均应满足表7-10中的[tanα]允许值要求。
表7-10 无筋扩展基础台阶宽高比的允许值[tanα]
续表
注:(1)pk为荷载效应标准组合时基础底面处的平均压力值(kPa);
(2)当基础由不同材料叠合组成时,应对接触部分做抗压验算;
(3)基础底面处的平均压力值超过300kPa的混凝土基础,还应进行抗剪验算。
(3)无筋扩展基础的构造要求(见图7-17)。
图7-17 无筋扩展基础构造示意图
基础的台阶高度与基础宽度的关系见下式。
b2≤H0n[taα] (7-15a)
b1=(b-h)/2-b2 (7-15b)
b2=(b-b0)/2 (7-15c)
式中:b——基础底面宽度,m;
b0——基础顶面的墙体宽度即大放脚宽度或柱脚宽度,m;
b1——墙边到大放脚边宽或柱边到柱脚边宽度,m;
b2——基础台阶宽度,m;
h——柱宽或墙宽,m;
H0——基础高度,m;
tanα——基础台阶宽高比tanα=b2/H0,其允许值[tanα]可按表7-10选用。
确定基础底面尺寸时,首先应满足地基承载力要求,包括持力层土的承载力计算和软弱下卧层的验算,其次,对部分建(构)筑物,仍需考虑地基变形的影响,验算建(构)筑物的变形特征值,并对基础底面尺寸作必要的调整。常见的无筋扩展基础形式见任务1中的图7-1。
①混凝土基础阶梯形基础的高度不宜小于300mm,多个台阶时,最底台阶高度不应小于200mm。采用无筋扩展基础的钢筋混凝土柱,其柱脚高度h1不得小于b2,并不应小于300mm且不小于20d(d为柱中的纵向受力钢筋的最大直径)。当柱纵向钢筋在柱脚内的竖向锚固长度不满足锚固要求时,可沿水平方向弯折,弯折后的水平锚固长度不应小于10d,同时也不应大于20d。
②砖基础:为了施工方便及减少砌砖损耗,基础台阶的高度及宽度应符合砖的模数,这种基础又称大放脚基础。砖基础一般采用等高式或间隔式砌法。等高式是两皮一收的砌法,间隔式砌法是两皮一收与一皮一收相间。相比较而言,在相同底宽的情况下,采用间隔式砌法可减少基础高度,比较节省材料。砖基础下应设一层100mm厚C10或C7.5的混凝土垫层。
③毛石基础:阶梯形时每台阶伸出长度应小于200mm,每阶高度应大于200mm。
④三合土和灰土基础:基础高度应是150mm的倍数。
2.钢筋混凝土扩展基础设计
图7-18 扩展基础底板受力钢筋布置示意图
1)扩展基础构造要求
(1)锥形基础的边缘高度,不宜小于200mm,阶梯形基础的每阶高度宜为300~500mm。
(2)垫层厚度宜为50~100mm。
(3)底板受力钢筋的最小直径不宜小于10mm,间距不大于200mm,也不宜小于100mm,墙下钢筋混凝土采用基础纵向分布钢筋的直径不小于8mm,间距不大于300mm,钢筋保护的厚度有垫层时不宜小于35mm,无垫层时不宜小于70mm。
(4)混凝土强度等级不宜低于C20。
(5)当柱下钢筋混凝土独立基础的边长和墙下钢筋混凝土条形基础的宽度大于或等于2.5m时,底板受力钢筋的长度可取边长或宽度的0.9倍,并应交错布置,如图7-18(a)所示。
(6)钢筋混凝土条形基础底板在T形及十字形交接处,底面横向受力钢筋仅沿一个主要受力方向通长布置,另一方向的横向受力钢筋可布置到主要受力方向底板宽度1/4处,如图7-18(b)所示。在拐角处底板横向受力钢筋应沿两个方向布置,如图7-18(c)所示。
(7)现浇柱的基础,其插筋的数量、直径以及钢筋种类应与柱内纵向受力钢筋相同。
(8)预制钢筋混凝土柱与杯口的连接应符合下列要求,如图7-19(b)所示。
图7-19 钢筋混凝土柱基础构造示意图
①柱的插入深度,可按表7-11选用,并应满足钢筋锚固长度的要求及吊装时柱的稳定性。
表7-11 柱的插入深度h1 单位:mm
注:(1)h为柱截面尺寸;ha为双肢柱全截面长边尺寸;hb为双肢柱全截面短边边长。
(2)轴心受压或小偏心受压时,ht可适当减小,偏心矩大于2h时,ht应适当加大。
②基础的杯底厚和杯壁厚度,可按表7-12选用。
③杯壁的配筋。当柱为轴心受压或小偏心受压且t/h2≥0.65时,或大偏心受压且t/h2≥0.75时,杯壁可不配筋;当柱为轴心受压或小偏心受压且0.5≤t/h2<0.65时,杯壁可按表7-13构造配筋;其他情况下,按计算配筋。
表7-12 基础的杯底厚度和杯壁厚度 单位:mm
注:(1)双肢柱的杯底厚度值,可适当加大;当有基础梁时,基础梁下的杯壁厚度,应满足其支承宽度的要求。
(2)柱子插入杯口部分的表面应凿毛,柱子与杯口之间的空隙,应用比基础混凝土等级高一级的细石混凝土充填密实,当达到材料设计强度的70%以上时,方能进行上部吊装。
表7-13 杯壁构造配筋 单位:mm
注:表中钢筋置于杯口顶部,每边两根。
2)墙下钢筋混凝土条形基础设计及计算
墙下钢筋混凝土条形基础的设计计算的主要内容包括确定基础宽度、基础底板高度和基础底板配筋。
(1)底板受力分析。
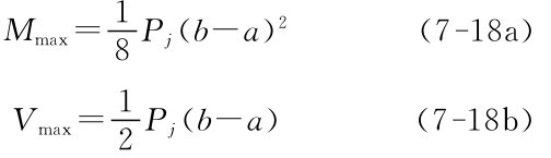
墙下钢筋混凝土基础底板像倒置的悬臂梁,其受力情况如图7-20所示,由于自重G产生的均布压力与由其产生的那一部分地基反力相抵消。所以基础底板主要受到上部结构传来的荷载设计值F引起的地基净反力pj的作用,使基础底板发生向上的弯曲变形,底板任一截面1—1将产生弯矩Mj和剪力Vj。
图7-20 轴心荷载作用下条形基础受力分析
取1m长基础为计算单元,b为基础宽度。
①轴心荷载作用下,有
任一截面处的弯矩Mj和剪力Vj为
墙边1—1截面最大弯矩、最大剪力的位置
为
②偏心荷载F、M作用下,基底反力不均匀,则
(2)基础底板宽度和高度的确定。
条形基础底板宽度b按式(7-10)确定,底板的高度h一般先取为基础宽度b的1/8,再根据抗剪强度条件验算。
式中:V——相对于荷载效应基本组合值时的剪力设计值,kN;
ft——混凝土抗拉强度设计值,N/mm2;
h——条形基础的截面高度,mm;
as——基础底板受力筋到板底的距离,mm。
一般情况下,取基础宽度h≥b/8时,均能满足抗剪条件要求。实际设计工作中可略去此步骤。
(3)底板配筋计算。
基础底板受力钢筋的面积可近似按下式确定。
式中:M——最大弯矩截面处相对应的荷载效应基本组合值时的弯矩设计值;
As——基础底板受力钢筋面积;
fy——钢筋抗拉强度设计值,N/mm2。
3)钢筋混凝土独立基础
钢筋混凝土独立基础的计算主要包括确定基础底面积、基础高度和基础底板配筋。
(1)基础底面积及高度的确定。
基础底面积尺寸按公式(7-8)计算,具体的长和宽按柱的截面比例确定。
图7-21 基础冲切破坏
基础高度及变阶处高度,应通过截面抗剪强度及抗冲切验算。对独立基础而言,其抗剪强度一般能满足要求,故主要根据冲切验算确定基础高度。从柱子周边起,沿45°斜面是抗冲切面,形成如图7-21中虚线所示的冲切角锥体。
基础应有足够的高度使冲切破坏在基础冲切角锥体以外,由地基净反力产生的冲切荷载Fl应小于基础冲切面上的抗冲切强度。
设计时先假设一个基础高度h,然后按下列公式验算冲切承载力。
Fl≤0.7βhpftamh0 (7-22a)
Fl=pjAl (7-22b)
式中:βhp——受冲切承载力截面高度影响系数,当h不大于800mm时,βhp取1.0,当h大于等于2 000mm时,βhp取0.9,其间按线性内插取值;
ft——混凝土轴心抗拉强度设计值;
h0——基础冲切破坏锥体的有效高度;
am——冲切破坏锥体最不利一侧的计算长度;
at——冲切破坏锥体最不利一侧斜截面的上边长,当计算柱与基础交接处的受冲切承载力时,取柱宽,当计算基础变阶处的受冲切承载力时,取上阶宽;
ab——冲切破坏锥体最不利一侧斜截面在基础底面积范围内的下边长,当冲切破坏锥体的底面落在基础底面以内(见图7-22(a)、(b)),计算柱与基础交接处的受冲切承载力时,取柱宽加两位基础有效高度;当计算基础变阶处的受冲切承载力时,取上阶宽加两面倍该处的基础有效高度;当冲切破坏锥体的底面在l方向落在基础底面以外,即a+2h0≥1时(见图7-22(c)),ab=l;
pj——扣除基础自重及其上土重后相应于荷载效应基本组合时的地基土单位面积净反力,对偏心受压基础可取基础边缘处最大地基土单位面积净反力;
Al——冲切验算时取用的部分基底面积(见图7-22(a)、(b)中的阴影面积ABCDEF,或图7-22(c)中的阴影面积ABCD);
Fl——相应于荷载效应基本组合时作用在Al上的地基土净反力设计值。
其中 
图7-22 基础受冲切承载力截面位置
1—冲切破坏锥体最不利一侧的斜截面;2—冲切破坏锥体的底面线
(2)基础底板配筋。
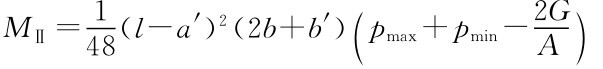
对于矩形基础,当台阶的宽高比小于或等于2.5,以及偏心距小于或等于1/6基础宽度时,在轴心荷载或单向偏心荷载的作用下底板受弯可按下列简化方法计算任意截面的弯矩,如图7-22所示。
图7-23 矩形基础底板计算示意图
式中:MⅠ、MⅡ——任意截面Ⅰ—Ⅰ、Ⅱ—Ⅱ处相应于荷载效应基本组合时的弯矩设计值;
a1——任意截面Ⅰ—Ⅰ至基底边缘最大反力处的距离;
l、b——基础底面的边长,弯矩作用在b方向内(见图7-23);
pmax、pmin——相应于荷载效应基本组合时的基础底面边缘最大和最小地基反力设计值;
p——相应于荷载效应基本组合时在任意截面Ⅰ—Ⅰ处基础底面地基反力设计值;
G——考虑荷载分项系数的基础自重及其上的土自重,当组合值由永久荷载控制时,G=1.35Gk,Gk为基础及其上土的标准自重。
轴心荷载下一般按式(7-24)计算,此时
式中:pj——净反力。
柱下单独基础在两个方向上配置受力钢筋,Ⅰ—Ⅰ截面(平行于l方向)的受力钢筋面积为
式中:fy——钢筋抗拉强度设计值,N/mm2;
h0——基础的有效高度,m。
4)设计计算步骤及算例
墙下钢筋混凝土条形基础和柱下钢筋混凝土独立基础设计计算步骤如下。
(1)计算上部结构荷载到基础顶面的作用值:①计算相应于荷载效应标准组合时标准值用于验算地基承载力和确定基础底面尺寸;②计算相应于荷载效应基本组合时的设计值用于确定基础高度和计算基础底面配筋。
(2)确定地基承载力和基础底面尺寸:按项目4确定地基承载力和按式(7-8)确定基础底面尺寸。
(3)确定基础高度:一般采用验算法,先假定基础高度为b/8,然后进行验算,验算条件为基础底板根部处的抗剪或抗冲切能力。
(4)计算基础底板内力:墙下条形基础时按式(7-18)、式(7-19)计算,柱下独立基础按式(7-24)计算。
(5)计算基础底板配筋:按式(7-25)计算。
三、任务实施
【例7-4】 某砖混结构外墙基础采用毛石基础,墙厚240mm,基底处平均压力pk=100 kPa,室内外高差450mm,设计基础埋深0.8m,设计基础宽度为0.9m,试设计基础的剖面尺寸。
【解】 基础大放脚采用MU10砖和M5砂浆按“二一间隔收”砌筑,两步灰土垫层。
由表7-10查得,毛石基础台阶宽高比允许值为1∶1.50,故毛石垫层挑出宽度应满足
则大放脚所需台阶数
故取n=3。
基础顶面距室外设计地坪距离为
800-300-(2×120+60)=200mm>100mm
因而满足构造要求。
其基础剖面如图7-24所示。
图7-24 例7-4示意图
图7-25 例7-5示意图
【例7-5】 采用偏心荷载作用下钢筋混凝土条形基础来设计某办公楼为砖混承重结构,拟采用钢筋混凝土墙下条形基础。外墙厚为370mm,上部结构传至±0.000处的荷载标准值为Fk=260kN/m,Mk=50kN·m/m,荷载基本组合值为F=295kN/m,M=65kN·m/m,基础埋深1.92m(从室内地面算起),地基持力层承载力特征值fa=170kPa。混凝土强度等级为C20(fc=9.6N/mm2),钢筋采用HPB235(fy=210N/mm2)。试设计该外墙基础。
【解】 ①求基础宽度。
基础平均埋深 d=(1.47+1.92)/2m=1.695m
基础底面宽度
初选b=1.2b0=1.2×1.91m=2.29m,取基础宽度b=2.3m。
地基承载力验算
故满足要求。
②地基净反力计算。
③底板配筋计算。
初选基础高度h=350mm>b/8=287mm,边缘厚度取200mm。垫层为100厚C10混凝土,基础保护层厚度取40mm,h0=(350-40)mm=310mm。计算截面选在墙边缘,则
a1=(2.3-0.37)/2m=0.97m
该截面处的地基净反力
pjⅠ=[202-(202-54.6)×0.97/2.3]kPa=139.8kPa
计算底板最大弯矩
计算底板配筋 
选用 14@100mm(As=1539mm2),根据构造要求纵向分布筋选取 8@250mm。
其基础剖面如图7-25所示。
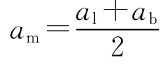
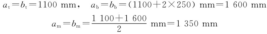
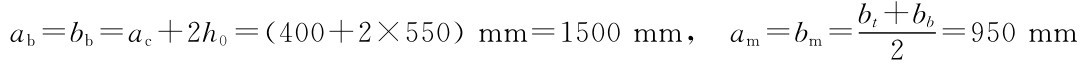
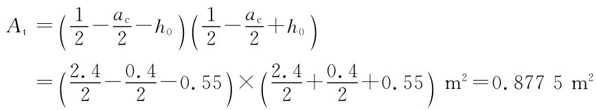
【例7-6】 轴心压力作用下钢筋混凝土单独基础设计。如图7-26所示的扩展基础,柱截面ac×ab=400mm×400mm,基础底面l×b=2 400mm×2 400mm,基础埋深1.5m,基础高度h=600mm,两个台阶上台阶两个边长均为a1=b1=1 100mm,h0=550mm,h01=250mm,混凝土强度等级C20,ft=1.1N/mm2,HPB235级钢筋,fy=210N/mm2,柱传来相应于荷载效应基本组合时,轴向力设计值为F=680kN。求:冲切承载力验算和配置纵向钢筋。
图7-26 例7-6示意图
【解】 ①计算基底净反力。
②计算冲切破坏锥体位置。
l=b=2.4m>bc+2h0=(0.4+2×0.55)m=1.5m
冲切破坏锥体底面落在基础底面以内。
③整个高度的冲切承载力验算。
应用公式(7-22b)计算冲切荷载为
Fl=pjAl=118×0.8775kN=103.55kN
这里at=bt=bc=ac=400mm,计算各冲切边长值为
取βmp=1.0,带入公式(7-22a)验算冲切承载力如下。
0.7βmpftamh0=402.3kN>Fl=103.55kN
故满足要求。
④下阶高度的冲切承载力验算。
冲切验算取用的基底面积
计算冲切荷载为 Fl=pjAl=118×0.8kN=94.4kN
取βhp=1.0,验算如下。
0.7βhpftamh0=259.9kN>fl=94.4kN
故满足要求。
⑤计算底板配筋。
沿基础短边所在截面Ⅱ处的弯矩设计值按公式(7-24)计算。
公式中 pmax+pmin-
=2×pj=2×118kN/m2, a′=ac=b′=bc=0.4m
带入公式计算得弯矩值为
带入公式(7-25)计算钢筋面积为
配置13 10钢筋,则 As=1 021mm2
四、任务小结
1.无筋扩展基础的构造要求和高度H0确定。无筋扩展基础的构造要求,其中,基础的台阶高度与基础宽度的关系满足公式要求:b2≤H0n[taα];基础底面尺寸确定的计算方法。
2.扩展基础构造要求,墙下钢筋混凝土条形基础设计及计算,钢筋混凝土独立基础。扩展基础的设计步骤:①计算上部结构荷载到基础顶面的作用值;②确定地基承载力和基础底面尺寸;③确定基础高度;④计算基础底板内力;⑤计算基础底板配筋。
五、拓展练习
1.某住宅承重墙厚240mm,室内外高差0.40m,从室内设计底面起算得基础埋深为1.8m,上部结构荷载Fk=110kN/m,地基土为均质黏土,γ=18kN/m3,承载力特征值fak=75.1kPa,ηd=1.1。试设计刚性基础并绘制基础剖面图。
2.已知某办公楼外墙厚370mm,传至地表基本外荷载值Fk=360kN/m,室内外高差0.90m,基础埋深按1.3m计算(从室外底面起计算),修正后的地基承载力特征值fa=165kPa。试设计该墙下钢筋混凝土条形基础(取由永久荷载效应控制的基本组合)。
3.设计柱下独立基础,如图7-27所示,作用在柱底的荷载效应基本组合设计值为,F=820kN,M=100kN·m,V=20kN。材料选用:C20混凝土,HPB235钢筋。基础底面尺寸2.4m×1.6m。
图7-27 习题3图

