任务2 土的物理性质
一、任务介绍
自然界的土体由固相(固体颗粒)、液相(土中水)和气相(土中气体)组成,通常称为三相分散体系。土中三相物质本身的特性及它们之间的相互作用,对土的工程性质有着本质的影响,但土体三相之间量的比例关系也是一个非常重要的影响因素。另外,土所表现出的干湿、软硬、疏松或紧密等特征即土的物理状态对土的工程性质影响也较大,类别不同的土所表现出的物理状态指标也不同。本任务主要介绍土的物理性质指标和物理状态指标。
二、理论知识
1.土的物理性质指标
土的物理性质指标反映土的工程性质的特征。土的三相组成物质的性质、三相之间的比例关系及相互作用决定了土的物理性质。土的三相组成物质在体积和质量上的比例关系称为三相比例指标。三相比例指标反映土的干燥与潮湿、疏松与紧密,是评价土的工程性质的最基本的物理性质指标,也是工程地质勘察报告中的基本内容。
1)土的三相简图
土的三相物质是混杂在一起的,为了便于计算和说明,工程中常将三相分别集中起来,画成如图1-16所示的土的三项组成草图的形式。图的左边标出各相的质量,土的右边标出各相的体积。
图1-16 土的三相关系图
图中各部分符号的含义如下。
ms——土粒质量,g;
mω——土中水质量,g;
m——土的总质量,g;
Vs——土粒体积,cm3;
Vω——土中水体积,cm3;
Va——土中气体体积,cm3;
Vv——土中孔隙体积,cm3;
V——土的总体积,cm3。
2)由试验直接测定的指标
通过试验直接测定的指标有土的密度ρ、土粒比重ds和含水量ω。它们是土的三项基本物理性质指标。
(1)土的密度ρ。
在天然状态下(即保持原始状态的含水量不变),单位土体积内湿土的质量称为土的湿密度ρ,简称天然密度或密度(单位为g/cm3),用公式表示如下。
工程中还常用重度γ来表示类似的概念。单位体积的土受到的重力称为土的湿重度,又称土的重力密度或重度(单位为kN/m3),其值等于土的湿密度乘以重力加速度g,工程中可取g=10m/s2,则用公式表示如下。
γ=ρg (1-5)
天然状态下土的密度变化范围很大,随着土的矿物成分、孔隙体积和水的含量而异。一般为ρ=1.6~2.2g/cm3,若土较软则介于1.2~1.8g/cm3之间,有机质含量高或塑性指数大的极软黏土可降至1.2g/cm3以下。
天然密度一般采用“环刀法”测定,用一个圆环刀(刀刃向下)放置于削平的原状土样面上,垂直边压边削至土样伸出环刀口为止,削去两端余土,使其与环刀面齐平,称出环刀内土质量,求它与环刀容积的比值即为土的密度。
(2)土粒比重(土粒相对密度)ds。
土粒的密度与4℃时纯水的密度的比值称为土粒比重(无量纲)或土粒性对密度,即
式中:ρs——土粒密度,g/cm3;
ρω——纯水在4℃时的密度(单位体积的质量),取1g/cm3。
土粒比重取决于土的矿物成分,不同土类的土粒比重变化幅度不大,在有经验的地区可按经验值选用。一般砂土为2.65~2.69,粉土为2.70~2.71,黏性土为2.72~2.75。
土粒的相对密度可在试验室采用“比重瓶法”测定。将风干碾碎的土样注入比重瓶内,由排出同体积的水的质量原理测定土粒的体积Vs。
(3)土的含水量ω。
土中水的质量与土粒质量之比称为土的含水量,以百分数表示,用公式表示如下。
含水量是表示土的湿度的一个重要指标。天然土层的含水量变化范围很大,它与土的种类、埋藏条件及其所处的自然地理环境等有关。一般砂土为0%~40%,黏性土为20%~60%。一般来说,同一类土含水量越大,则其强度就越低。
含水量的测定方法一般采用烘干法,适用于黏性土、粉土和砂土的常规试验。即称得天然土样的质量m,然后置于电烘箱内,在温度100~150℃下烘至恒重,称得干土质量ms,湿土与干土质量之差即为土中水的质量mω。
3)换算指标
除了上述三个试验指标之外,还有六个可以通过计算求得的指标,称为换算指标。换算指标包括特定条件下土的密度(重度)指标:干密度(干重度)、饱和密度(饱和重度)、有效密度(有效重度);反映土的松密程度的指标:孔隙比、孔隙率。反映土的含水程度的指标:饱和度。
(1)表示土的密度和容重的指标。
①土的干密度ρd和干重度γd。
单位体积土中土颗粒的质量称为土的干密度或干土密度ρd(g/cm3),即
单位体积土中土颗粒受到的重力称为土的干重度或干土的重力密度γd(kN/m3),即
γd=ρdg (1-9)
土的干密度一般为1.3~2.0g/cm3。工程中常用土的干密度作为填方工程土体压实质量控制的标准。土的干密度越大,土体压的越密实,土的工程质量就越好。
②土的饱和密度ρsat和饱和重度γsat。
当土孔隙中充满水时的单位体积土的质量,称为土的饱和密度ρsat(g/cm3),即
单位体积土饱和时受到的重力称为土的饱和重度γsat(kN/m3),即
γsat=ρsatg (1-11)
土的饱和密度一般为1.8~2.3g/cm3。
③土的有效密度ρ′和有效重度γ′。
地下水位以下,土体受到水的浮力作用时,扣除水的浮力后单位体积土的质量称为土的有效密度或浮密度ρ′(g/cm3),即
地下水位以下,土体受到水的浮力作用时,扣除水的浮力后单位体积土受到的重力称为称为土的有效重度或浮重度γ′(kN/m3),即
γ′=ρ′g=γsat-γω (1-13)
式中:γω=10kN/m3。土的有效密度一般为0.8~1.3g/cm3。
④土粒密度ρs。
单位颗粒体积内颗粒的质量称为土粒密度ρs(单位为t/m3或g/cm3),即
这几种密度在数值上有如下关系:ρsat≥ρ≥ρd>ρ′。同样的,这几种容重在数值上有如下关系:γsat≥γ≥γd>γ′。
(2)反映土松密程度的指标。
①土的孔隙比e。
土中孔隙体积与土颗粒体积之比称为土的孔隙比,以小数表示,即
孔隙比可用来评价天然土层的密实程度。一般砂土为0.5~1.0,黏性土为0.5~1.2。当砂土e<0.6时,呈密实状态,为良好地基;当黏性土e>1.0时,为软弱地基。
②土的孔隙率n。
土中孔隙体积与土总体积之比称为土的孔隙率,以百分数表示,即
e与n的关系为
土的孔隙比或孔隙率都可用来表示土的松、密程度。它随土形成过程中所受到压力、粒径级配和颗粒排列的状况而变化。一般来说,粗粒土的孔隙率小,细粒土的孔隙率大。例如,砂类土的孔隙率一般是28~35%,黏性土的孔隙率有时可高达60~70%。
(3)饱和度Sr。
土中被水充满的孔隙体积与孔隙总体积之比称为土的饱和度,以百分数表示,即
饱和度是评价土的潮湿程度的物理性质指标。当Sr≤50%时,土为稍湿的;当50%<Sr≤80%时,土为很湿的;当Sr>80%时,土为饱和的。当Sr=100%时,则土处于完全饱和状态;而干土的饱和度Sr=0。
4)三相比例指标的换算关系
以上对各指标进行了定义,如测得三个基本物理性质指标后,替换三相图中的各符号即可得出其他三相比例指标,如图1-17所示。
图1-17 土的三相物理指标换算图
在推导换算指标时,假设Vs=1,由式(1-14)得,ms=ρs,由式(1-6)得,ms=dsρω,由式(1-7)得,mω=ωdsρω。
因为
ρω=mω/Vω
所以
推导得
其他指标推导过程略,将换算公式一并列于表1-5中。
表1-5 土的三相比例指标换算公式
续表
2.土的物理状态指标
土的物理状态指标用于研究土的松密和软硬状态。由于无黏性土与黏性土的颗粒大小相差较大,土粒与土中水的相互作用各不相同,即影响土的物理状态的因素不同,因此需分别进行阐述。
1)无黏性土的物理特性
无黏性土为单粒结构,土粒与土中水的相互作用不明显,影响其工程性质的主要因素是密实度。土的密实度通常是指单位体积中固体颗粒的含量。土颗粒含量多,土就密实;土颗粒含量少,土就疏散。无黏性土的密实度与其工程性质有着密切的关系。无黏性土呈密实状态时,其结构就稳定,压缩变形小,强度较高,属于良好的天然地基;呈松散状态时,其结构不稳定,压缩变形大,强度低,则属不良地基。
(1)砂土的密实度评价。
①孔隙比确定法。
土的基本物理性质指标中,孔隙比e的定义就表示土中孔隙的大小。e大,表示土中孔隙大,则土疏松;反之,土为密实。因此,可以用孔隙比的大小来衡量土的密实性,如表1-6所示。
表1-6 砂土的密实度
孔隙比确定法的评价如下。
●优点:用一个指标e即可判别砂土的密实度,应用方便简捷。
●缺点:由于颗粒的形状和级配对孔隙比有极大的影响,而只用一个指标e无法反映土的粒径级配的因素。例如,对两种级配不同的砂,采用孔隙比e来评判其密实度,其结果是颗粒均匀的密砂的孔隙比大于级配良好的松砂的孔隙比,结果密砂的密实度小于松砂的密实度,而与实际不符。
②相对密实度法。
为了考虑颗粒级配的影响,引入砂土相对密实度的概念。即用天然孔隙比e与该砂土的最松状态孔隙比emax和最密实状态孔隙比emin进行对比,根据e是靠近emax或是靠近emin来判别砂土的密实度。其表达式如下。
砂土的最小孔隙比emin和最大孔隙比emax采用一定的方法进行测定。
由式(1-22)可以看出,当砂土的天然孔隙比e接近于emin时,相对密实度Dr接近于1,表明砂土接近于最密实的状态;当e接近于emax时,相对密实度接近于0,表明砂土处于最松散的状态。根据Dr值将砂土密实度划分为以下三种状态。
●0.67<Dr≤1,密实。
●0.33<Dr≤0.67,中密。
●0<Dr≤0.33,松散。
相对密实度法的评价如下。
●优点:把土的级配因素考虑在内,理论上较为完善。
●缺点:e,emax,emin都难以准确测定。目前主要应用Dr于填方质量的控制,对于天然土尚难以应用。
③现场标准贯入试验法。
《建筑地基基础设计规范》(GB 50007—2011,以下均简称《规范》)采用未经修正的标准贯入试验锤击数N来划分砂土的密实度,如表1-7所示。标准贯入试验是一种原位测试方法。试验方法为:将质量为63.5kg的锤头,提升到76cm的高度,让锤自由下落,打击标准贯入器,使贯入器入土深为30cm所需的锤击数,记为N63.5,这是一种简便的测试方法。N63.5的大小,综合反映了土的贯入阻力的大小,亦即密实度的大小。
表1-7 砂土的密实度
(2)碎石土的密实度。
碎石土既不易获得原状土样,也难以将贯入器击入土中。对于卵石、碎石、圆砾、角砾,《规范》采用重型圆锥动力触探锤击数N63.5来划分其密实度,如表1-8所示。
表1-8 碎石土的密实度
注:表内N63.5为经综合修正后的平均值。
对于漂石、块石以及粒径大于200mm的颗粒含量较多的碎石土,可根据《规范》要求,按野外鉴别方法划分为密实、中密、稍密、松散四种,如表1-9所示。
表1-9 碎石土密实度野外鉴别方法
注:(1)骨架颗粒系指与表1-1分类名称相对应粒径的颗粒;
(2)碎石土的密实度应按表列各项要求综合确定。
2)黏性土的物理特性
(1)黏性土的状态。
黏性土的颗粒很细,土粒与土中水相互作用很显著。随着含水量的不断增加,黏性土的状态变化为固态—半固态—可塑状态—流动状态,相应土的承载力逐渐下降。我们将黏性土对外力引起的变化或破坏的抵抗能力(即软硬程度)称为黏性土的稠度。因此,可用稠度表示黏性土的物理特征。
土中含水量很少时,由于颗粒表面的电荷的作用,水紧紧吸附于颗粒表面,成为强结合水。按水膜厚薄的不同,土表现为固态或半固态。当含水量增加时,被吸附在颗粒周围的水膜加厚,土粒周围有强结合水和弱结合水,在这种含水量情况下,土体可以被捏成任意形状而不破裂,这种状态称为塑态。弱结合水的存在是土具有可塑状态的原因。当含水量再增加,土中除结合水外,土中出现了较多的自由水,黏性土变成了液体呈流动状态。黏性土随含水量的减少可从流动状态转变为可塑状态、半固态及固态。
(2)界限含水量。
黏性土从一种状态过渡到另一种状态的分界含水量称为界限含水量。
土由可塑状态变化到流动状态的界限含水量称为液限(或流限),用ωL表示;土由半固态变化到可塑状态的界限含水量称为塑限,用ωP表示;土由半固体状态不断蒸发水分,体积逐渐缩小,直到体积不再缩小时土的界限含水量称为缩限,用ωS表示,如图1-18所示,界限含水量均以百分数表示。它对黏性土的分类及工程性质的评价有重要意义。界限含水量首先由瑞典科学家阿太堡(Atterberg)于1911年提出,故这些界限含水量又称为阿太堡界限。
图1-18 黏性土的状态与含水量的关系
(3)界限含水量的测定方法。
①液限ωL测定方法:常采用锥式液限仪测定法和碟式液限仪测定法,分别介绍如下。
●锥式液限仪测定法,如图1-19所示,其工作过程是如下。
将调成均匀的浓糊状试样装满盛土杯内(盛土杯置于底座上),刮平杯口表面,用质量为76g的圆锥式液限仪测定。提住锥体上端手柄,使锥尖正好接触试样表面中部,松手使锥体在其自重作用下沉入土中。若圆锥体经5s恰好沉入17mm深度,这时杯内土样的含水量就是液限ωL值。如果沉入土中的深度超过或低于17mm,则表示试样的含水量高于或低于液限,均应重新试验至满足要求。
由于该法采用手工操作,人为因素影响较大,故《土工试验方法标准》(GB/T 50123—1999)中规定采用的是下述液限、塑限联合测定法。
●碟式液限仪测定法。如图1-20所示。美国、日本等国家使用碟式液限仪来测定黏性土的液限。其工作过程如下。
将调成浓糊状的试样装在碟内,刮平表面,用切槽器在土中成V形槽,槽底宽度为2mm,然后将碟子抬高10mm,使碟下落,连续下落25次后,如土槽合拢长度为13mm,这时试样的含水量就是液限。
图1-19 锥式(瓦氏)液限仪
1—手柄;2—平衡金属球;3—盛土杯;4—底座
图1-20 碟式液限仪
1—开槽器;2—销子;3—支架;4—土碟;5—涡轮;6—摇柄;7—底座;8—调整板
②塑限ωP的测定方法,常采用滚搓法,具体工作过程如下。
将土样过0.5mm的筛,取略高于塑限含水量的试样8~10g,先用手搓成椭圆形,然后放在干燥清洁的毛玻璃板上用手掌滚搓。手掌的压力要均匀地施加在土条上,不得使土条在毛玻璃上无力滚动。当土条搓至3mm直径时,表面开始出现裂纹并断裂成数段,此时土条的含水量就是塑限。若土条搓至3mm直径时,仍未出现裂纹和断裂,则表示此时试样的含水量高于塑限;若土条直径大于3mm时,已出现裂纹和断裂,则表示试样的含水量低于塑限。遇此两种情况,均应重取试样进行试验。
由于搓条法采用手工操作,人为因素影响较大,故成果不稳定,因而常常将滚搓法与碟式液限仪法配套使用。
③液限、塑限联合测定法。该方法是根据圆锥仪的圆锥入土深度与其相应的含水量在双对数坐标上具有线性关系的特性来进行测定的。利用圆锥质量为76g的液、塑限联合测定仪进行测定,如图1-21所示。
测定时,将土调成不同含水量的试样(制备3份不同稠度的试样,试样的含水量分别为接近液限、塑限和两者的中间状态),先后分别装满盛土杯,刮平杯口表面,将76g质量的圆锥仪放在试样表面中心,使其在重力作用下徐徐沉入试样,测定圆锥仪在5s时下沉的深度和相应的含水量,然后以含量为横坐标,圆锥下沉深度为纵坐标,绘于双对数坐标纸上,将测得的3点连成直线,如图1-22所示。由含水量与圆锥下沉深度关系曲线,可在图上查得圆锥下沉深度为17mm所对应的含水量即为液限ωL,查得圆锥下沉深度为2mm所对应的含水量为塑限ωP,取值以百分数表示,准确至0.1%。下沉2mm对应的含水量即为塑限。
(4)塑性指数IP与液性指数IL。
①塑性指数IP。
可塑性是黏性土区别于无黏性土的重要特征。可塑性的大小用土处于可塑状态的含水量变化范围,即塑性指数来衡量,即
IP=ωL-ωP (1-23)
图1-21 光电式液、塑限联合测定仪
1—水平调节螺丝;2—控制开关;3—指示灯;4—零线调节螺丝;5—反光镜调节螺丝;6—显示屏;7—机壳;8—物镜调节螺丝;9—电磁铁装置;10—光源调节装置;11—光源;12—圆锥仪;13—升降台;14—水平泡
图1-22 圆锥入土深度与含水量关系图
塑性指数习惯上用不带百分号的数值表示。塑性指数越大,则土处于可塑状态的含水量范围越大,土的可塑性就越好。也就是说,塑性指数的大小与土可能吸附的结合水的多少有关,一般土中黏粒含量越高或矿物成分吸水能力越强,则塑性指数越大。《规范》用IP作为黏性土与粉土的定名标准。
②液性指数IL。
液性指数是指黏性土的天然含水量与塑限的差值和塑性指数之比。它是表示天然含水量与界限含水量相对关系的指标,反映黏性土天然状态的软硬程度,又称为相对稠度,其表达式为
可塑状态土的液性指数IL在0到1之间,IL越大,表示土越软;IL大于1的土处于流动状态;IL小于0的土则处于固体状态或半固体状态。建筑工程中将液性指数IL用作确定黏性土承载力的重要指标。
《规范》按IL的大小将黏性土划分为5种软硬状态,如表1-10所示。
表1-10 黏性土软硬状态的划分
(5)灵敏度St。
天然状态的黏性土通常都具有一定的结构性,当受到外来因素的扰动时,其结构破坏,强度降低,压缩性增大。土的结构性对强度的这种影响通常用灵敏度来衡量。原状土无侧限抗压强度与原土结构完全破坏的重塑土(含水量与密度不变)的无侧限抗压强度之比称为土的灵敏度St,即
式中:qu——原状土的无侧限抗压强度,kPa;
q′u——重塑土的无侧限抗压强度,kPa。
根据灵敏度的大小,可将黏性土分为低灵敏(1.0<St≤2.0)、中灵敏(2.0<St≤4.0)和高灵敏(St>4.0)三类。土体灵敏度越高,其结构性越强,受扰动后强度降低越多,所以在施工时应特别注意保护基槽,尽量减少对土体的扰动(如人为践踏基槽)。
黏性土的结构受到扰动后,强度降低。但静置一段时间后,土的强度会逐渐增长,这种性质称为土的触变性。这是由于土粒、离子和水分子体系随时间而逐渐趋于新的平衡状态之故。例如,在黏性土地基中打桩时,桩周土的结构受到破坏而强度降低,而打桩停止后,土的强度会部分恢复,所以打桩时要“一气呵成”,才能进展顺利,提高工效。
三、任务实施
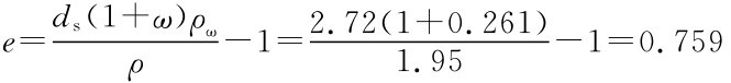
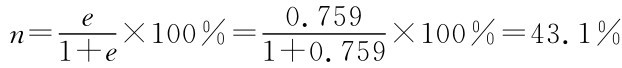
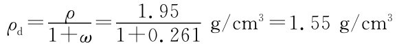
【例1-2】 某工程地基勘查中,一个钻孔原状土试样试验结果为:土的密度ρ=1.95g/cm3,含水量ω=26.1%,土粒比重ds=2.72。求其余6个物理性质指标。
【解】 (1)孔隙比
(2)孔隙率 
(3)饱和度 
(4)干密度 
(5)饱和密度
(6)有效密度 
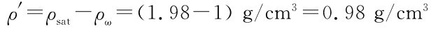
【例1-3】 某土样经试验测得体积为100cm3,湿土质量为187g,烘干后,干土质量为167 g。若土粒的相对密度Gs为2.66,求该土样的含水量ω、密度ρ、重度γ、干重度γd、孔隙比e、饱和重度γsat和有效重度γ′。
【解】 (1)含水量 
(2)密度 
(3)重度 γ=ρg=1.87×10kN/m3=18.7kN/m3
(4)干重度 γd=ρdg=
×10kN/m3=16.7kN/m3
(5)孔隙比 
(6)饱和重度 
(7)有效重度 γ′=γsat-γω=(20.4-10)kN/m3=10.4kN/m3
【例1-4】 某砂土土样的天然密度为1.77g/cm3,天然含水量为9.8%,土粒相对密度为2.67,烘干后测定最小孔隙比为0.461,最大孔隙比为0.943,试求天然孔隙比e和相对密度Dr,并评定该砂土的密实度。
【解】 由题意可知
令Vs=1cm3,则
ms=2.67, mω=0.262, m=ms+mω=2.932, V=2.932/1.77=1.656
所以
s
可知0.33≤Dr≤0.67,故该砂土处于呈中密状态。
【例1-5】 从某地基取原状土样,测得土的液限为37.4%,塑限为23.0%,天然含水量为26.0%,问地基土处于何种状态?
【解】 已知 ωL=37.4%, ωP=23.0%, ω=16.0%
IP=ωL-ωP=37.4-23=14.4
可知0<IL≤0.25,故该地基土处于硬塑状态。
四、任务小结
1.土的物理性质指标
(1)通过试验直接测定的指标:土的密度ρ、土粒比重ds和含水量ω。
(2)间接换算的指标:ρd、ρsat、ρ′、e、n、Sr。
2.土的物理状态指标
(1)无黏性土的密实度:衡量砂土密实度的方法有孔隙比确定法、相对密实度法和《规范》采用的现场标准贯入试验法;衡量碎石土密实度的方法有《规范》采用的适用于卵石、碎石、圆砾、角砾的重型圆锥动力触探锤击法和适用于碎石土的野外鉴别方法。
(2)黏性土的稠度的指标如下。
①黏性土的界限含水量(液限ωL、塑限ωP、缩限ωS)以及ωL、ωP的测定方法。界限含水量均以百分数表示。它对黏性土的分类及工程性质的评价有重要意义。
②塑性指数IP。《规范》用IP作为黏性土与粉土的定名标准。
③液性指数IL。反映黏性土天然状态的软硬程度,又称相对稠度。建筑工程中将液限指数IL用作确定黏性土承载力的重要指标。《规范》按IL的大小将黏性土划分为5种软硬状态——坚硬、硬塑、可塑、软塑、流塑。
五、拓展提高
黏性土中含水量的变化不仅引起土稠度发生变化,也同时引起土的体积发生变化。黏性土由于含水量的增加,土体体积增大的性能称为膨胀性;由于含水量的减少,体积减小的性能称为收缩性。这种湿胀干缩的性质,统称为土的胀缩性。膨胀、收缩等特性是说明土与水作用时的稳定程度,故又称土的抗水性。
土的膨胀可造成基坑隆起、坑壁拱起或边坡的滑移、道路翻浆;土体积的收缩时常伴随着产生裂隙,从而增大了土的透水性,降低了土的强度和边坡的稳定性。因此,研究土的胀缩性对工程建筑物的安全和稳定具有重要意义。另外,还可利用细粒土的膨胀特性,将其作为填料或灌浆材料来处理裂隙。
对土吸水膨胀、失水收缩的原因,有多种解释。但多数认为,主要是黏粒与水作用后,由于双电层的形成,使扩散层或弱结合水厚度变化所引起的;或者是由于某些亲水性较强的黏土矿物(如蒙脱石)层间结合水的吸入或析出所致。
六、拓展练习
1.在土的三相比例指标中,哪些指标是直接测定的?其余指标如何导出?
2.土的物理状态指标有几个?如何判定土的工程性质?
3.无黏性土最重要的物理状态指标是什么?用孔隙比、相对密实度和标准贯入试验锤击数N来划分密实度各有何优缺点?
4.黏性土最重要的物理特征是什么?何谓液限?何谓塑限?
5.一办公楼地基土样,用体积为100cm3的环刀取样试验,用天平测量加湿土的质量为241.0g,环刀质量为55.0g,烘干后土样质量为162.0g,土粒比重为2.70。计算该土样的含水量,饱和度,孔隙比,孔隙率,天然密度,饱和密度,浮密度和干密度,并比较各种密度的大小。
6.某住宅工程地质勘察中取原状土做试验。用天平称50cm3湿土质量为95.15g,烘干后质量为75.05g,土粒比重为2.67。计算此土样的天然密度、干密度、饱和密度、有效密度、天然含水量、孔隙比、孔隙度和饱和度。
7.已知某土样的土粒比重为2.72,孔隙比为0.95,饱和度为0.37。若将此土样的饱和提高到0.90时,每1m3的土应加多少水?
8.某砂土土样的天然密度为1.77g/cm3,天然含水量为9.8%,土粒相对密度为2.67,烘干后测定最小孔隙比为0.461,最大孔隙比为0.943,试求天然孔隙比e和相对密度Dr,并评定该砂土的密实度。
9.某黏性土的含水量ω=36.4%,液限ωL=48%,塑限ωP=25.4%,试求:(1)计算该土的塑性指数IP;(2)根据塑性指数确定该土的名称;(3)计算该土的液性指数IL;(4)按液性指数确定土的状态。

