1、定义
电感式传感器是建立在电磁感应基础上的,电感式传感器可以把输入的物理量(如位移、振动、压力、流量、比重)转换为线圈的自感系数L或互感系数M的变化,并通过测量电路将L或M的变化转换为电压或电流的变化,从而将非电量转换成电信号输出,实现对非电量的测量。
2、工程案例引入

通过差动变气隙厚度电感式传感器,将压力P转换成电压Uo的输出。C型管将压力P转成衔铁的上下运动,改变差动电感式传感器的变气隙厚度δ,使得上下两个L2和L1形成差动,即一个变大,另外一个变小。再经过测量转换电路(变压器电路)转换成电压Uo的输出。
3、工作原理
3.0 视频学习:自感传感器的工作原理
中国大学MOOC视频学习网址:
https://www.icourse163.org/course/WHU-1001549001?tid=1450211448
课程信息:传感器技术 吴琼水 武汉大学
3.1 变磁阻电感式传感器的工作原理

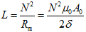
线圈中电感量近似为:
(4.7)

灵敏度定义为单位气隙厚度变化引起的电感量相对变化,即:

变磁阻电感式传感器主要用于测量微小位移,为了减小非线性误差,实际测量中广泛采用差动变气隙厚度电感式传感器。
3.2 差动变气隙厚度电感式传感器工作原理

将两个电感线圈接入交流电桥的相邻桥臂,另两个桥臂由电阻组成,电桥的输出电压与电感变化量有关。当衔铁上移时有:

比较单线圈和差动两种变气隙厚度电感式传感器的特性可知:
1) 差动式比单线圈式的灵敏度提高一倍;
2) 差动式结构的线性度得到明显改善。
3.3 视频学习:自感传感器特性
4、测量电路
4.0 视频学习:自感传感器的测量电路
电感式传感器的测量电路有交流电桥、变压器式交流电桥和谐振式测量电路。
(1)交流电桥


(2)变压器式交流电桥


(3)相敏检波电路



(4)谐振式测量电路
5、视频-差动变气隙厚度压力传感器
6、PPT

