知识扩展:
透明质酸
1、结构与性质
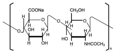
透明质酸(HA)是由D-葡萄糖醛酸及N-乙酰葡糖胺双糖单元交替连接而成的直连酸性粘多糖,分子量50万~200万。
透明质酸为白色、无定形固体,无臭无味,有吸湿性,不溶于水,不溶于有机溶剂,具有较高的黏度特性。

(1)动物组织提取法:
以人脐带、鸡冠、哺乳动物血清、牛眼玻璃体、鲨鱼皮及鲸鱼软骨等为原料。经过一系列的操作制得。
工艺过程包括提取,除蛋白等杂质,分级分离有机溶剂沉淀等。
纯化方法有sevag法、离子交换层析法、制备电泳法、凝胶过滤法和吸附法等。该工艺原料来源局限性大,产品提取率极低,仅为1%左右,工艺程序复杂,生产成本高,不宜进行工业化生产。
(2)微生物发酵法

将鸡冠碎片加入到丙酮中,浸泡过夜至鸡冠脱水变硬。然后置于瓷盘中进行干燥,干燥后经粉碎机粉碎成粉状。
将鸡冠粉倒入搪瓷罐中,加入6~7倍蒸馏水,搅拌均匀,浸泡24h以上,使鸡冠粉充分溶胀,然后过滤,收集滤液,滤渣再按同样方法浸泡3次,合并3次过滤液。
再将滤液倒入陶瓷缸中,搅拌下加入10%的固体氯化钠,并加入等体积的氯仿,搅拌3h后,分出水相。向分出的水相中加入2倍体积的95%乙醇,搅拌均匀,静置过夜,沉淀出透明质酸,然后滤干沉淀物,干燥后得粗品。
粗品再溶于4倍体积的0.1mol/L氯化钠溶液中,用稀盐酸调节pH=4.5~5,再加入等体积的氯仿,静置分层后,吸出上层水相。水相用8%氢氧化钠溶液调节pH=7.5,加入链酶蛋白酶,37℃下保温24h。
再用等体积的氯仿萃取处理2次,合并上层水相,下层液体回收氯仿。水相中加入等体积的1%氯化十六烷基吡啶溶液(CPC),搅拌均匀,静置沉淀,过滤,收集沉淀。沉淀再用2~3倍体积的0.4mol/L氯化钠溶解,过滤,滤液中再加入3倍体积95%乙醇,静置沉淀,吸去上层乙醇,下层再用95%乙醇反复沉淀2次,下层沉淀物吊滤,干燥,再用丙酮洗涤2次,真空干燥,可得成品。
CPC络合沉淀与解离步骤是分离提纯酸性粘多糖常用的方法之一。其特点是纯化效率高、回收率高,可以从很低溶度的溶液中将透明质酸或其他酸性粘多糖沉淀出来。
它的原理是CPC为季铵盐,在水溶液中带正电荷;透明质酸或其他粘性多糖,在水溶液中带负电荷。在低盐浓度下,透明质酸与CPC络合沉淀,在高浓度下,HA-CPC络合物解离溶解。
利用这一性质,可除去不能与CPC络合并沉淀的杂质。透明质酸与其他酸性粘多糖聚阴离子的电荷密度不同,与CPC络合生成沉淀时盐浓度可以不同,络合沉淀物解离所需的最低盐浓度也不同。

